防盗 https://www.cnblogs.com/setdong/p/17756127.html
domain adaptation 领域理论方向的重要论文. 这篇笔记主要是推导文章中的定理, 还有分析定理的直观解释. 笔记中的章节号与论文中的保持一致.
domain adaptation 的设定介绍:
有两个域, source domain 与 target domain.
source domain: 一组从 source dist. 采样的带有标签的数据.
target domain: 一组从 target dist. 采样的无标签的数据, 或者有很少的数据带标签.
其中 source dist.
≠
\neq
= target dist.
目标: 学习一个能在 target domain上表现得好的模型.
(第二节跳过)
首先关注二分类问题. 这节主要是给出了本文中用到的一些notations.
现在, 想要分析一个在 source domain上训练的分类器在 target domain上的 generalization error (即
ϵ
T
(
h
)
\epsilon_T(h)
ϵT(h)) 是多少. 这个值肯定无法计算出来, 所以最直观的想法就是用 source error (即
ϵ
S
(
h
)
\epsilon_S(h)
ϵS(h)) 和 两个域之间的差异来 bound target error.
那么用什么来表示两个域之间的差异呢? 文章首先用
L
1
L^1
L1 Divergence 表示这个差异, 并给出了用
L
1
L^1
L1 Divergence 的 bound.
但是
L
1
L^1
L1 Divergence 有很多缺点, 所以作者提出了第二种方法来表示域之间的差异 –
H
\mathcal{H}
H Divergence, 为了给出相应的 bound, 又将
H
\mathcal{H}
H Divergence 扩展成
H
Δ
H
\mathcal{H}\Delta\mathcal{H}
HΔH Divergence.
也叫 Variation Divergence, Variation Distance, TV Distance.
d
1
(
D
,
D
′
)
=
2
sup
B
∈
B
∣
Pr
D
[
B
]
−
Pr
D
′
[
B
]
∣
d_1(\mathcal{D}, \mathcal{D}')=2\sup_{B\in\mathcal{B}}|\Pr_\mathcal{D}[B]-\Pr_{\mathcal{D}'}[B]|
d1(D,D′)=2B∈Bsup∣DPr[B]−D′Pr[B]∣
其中
B
\mathcal{B}
B 是在
D
\mathcal{D}
D 和
D
′
\mathcal{D}'
D′ 上所有可测子集的集合.
用两个很简单的一维分布来表示一下:

上面两个: 红色区域和蓝色区域的面积是相等的, 因为面积就是概率. 很明显, 对于这两种情况而言,
d
1
(
D
,
D
′
)
d_1(\mathcal{D},\mathcal{D}')
d1(D,D′) 就等于2倍蓝色区域面积=2倍红色面积=蓝色面积+红色面积.
下面两个: 两个分布没有重合区域,
d
1
(
D
,
D
′
)
d_1(\mathcal{D},\mathcal{D}')
d1(D,D′) 等于2倍的
D
\mathcal{D}
D 的面积=2倍的
D
′
\mathcal{D}'
D′ 的面积=2. 这里很容易发现, 无论
D
\mathcal{D}
D 与
D
′
\mathcal{D}'
D′ 相隔多远, 差异多大, 只要它们没有重合部分,
d
1
(
D
,
D
′
)
d_1(\mathcal{D},\mathcal{D}')
d1(D,D′) 永远等于2.
从上图还能得出一个公式:
d
1
(
D
,
D
′
)
=
∣
∣
D
−
D
′
∣
∣
1
=
∫
∣
D
(
x
)
−
D
′
(
x
)
∣
d
x
d_1(\mathcal{D},\mathcal{D'}) = ||\mathcal{D}-\mathcal{D'}||_1=\int |\mathcal{D}(x)-\mathcal{D'}(x)| dx
d1(D,D′)=∣∣D−D′∣∣1=∫∣D(x)−D′(x)∣dx
其中
D
(
x
)
\mathcal{D}(x)
D(x) 表示
D
\mathcal{D}
D 的 pdf.
Thm1. 对于任意一个 hypothesis
h
h
h,
ϵ
T
(
h
)
≤
ϵ
S
(
h
)
+
d
1
(
D
S
,
D
T
)
+
min
{
E
D
S
[
∣
f
S
(
x
)
−
f
T
(
x
)
∣
]
,
E
D
T
[
∣
f
S
(
x
)
−
f
T
(
x
)
∣
]
}
\epsilon_T(h)\leq \epsilon_S(h) + d_1(\mathcal{D}_S, \mathcal{D}_T)+\min \{\mathbf{E}_{\mathcal{D}_S}[|f_S(x)-f_T(x)|],\mathbf{E}_{\mathcal{D}_T}[|f_S(x)-f_T(x)|]\}
ϵT(h)≤ϵS(h)+d1(DS,DT)+min{EDS[∣fS(x)−fT(x)∣],EDT[∣fS(x)−fT(x)∣]}
证明:

上图是文章给的证明, 前四行很好理解, 解释下最后一行:
∫
∣
ϕ
S
(
x
)
−
ϕ
T
(
x
)
∣
∣
h
(
x
)
−
f
T
(
x
)
∣
d
x
≤
∫
∣
ϕ
S
(
x
)
−
ϕ
T
(
x
)
∣
d
x
=
d
1
(
D
S
,
D
T
)
\int |\phi_S(x)-\phi_T(x)| |h(x)-f_T(x)|dx \leq \int |\phi_S(x)-\phi_T(x)| dx=d_1(\mathcal{D}_S,\mathcal{D}_T)
∫∣ϕS(x)−ϕT(x)∣∣h(x)−fT(x)∣dx≤∫∣ϕS(x)−ϕT(x)∣dx=d1(DS,DT)
其中
∣
h
(
x
)
−
f
T
(
x
)
∣
≤
1
|h(x)-f_T(x)| \leq 1
∣h(x)−fT(x)∣≤1, 而
∫
∣
ϕ
S
(
x
)
−
ϕ
T
(
x
)
∣
d
x
=
d
1
(
D
S
,
D
T
)
\int |\phi_S(x)-\phi_T(x)| dx=d_1(\mathcal{D}_S,\mathcal{D}_T)
∫∣ϕS(x)−ϕT(x)∣dx=d1(DS,DT) 在前面讲过. 这里再一次体现了前面提到的缺点, 只要不同, 无论
h
,
f
T
h,f_T
h,fT 有多远
∣
h
(
x
)
−
f
T
(
x
)
∣
|h(x)-f_T(x)|
∣h(x)−fT(x)∣都等于1.
用
L
1
L^1
L1 Divergence 来做 bound 有以下两个缺点: 1) 无法从有限的样本来估计; 2) bound 很松.
Def. 1 给定在输入空间
X
\mathcal{X}
X 上的两个概率分布
D
\mathcal{D}
D 和
D
′
\mathcal{D'}
D′,
H
\mathcal{H}
H 表示
X
\mathcal{X}
X上的hypothesis space,
I
(
h
)
I(h)
I(h) 为指示函数(即
x
∈
I
(
h
)
⇔
h
(
x
)
=
1
x\in I(h)\Leftrightarrow h(x)=1
x∈I(h)⇔h(x)=1). 那么,
D
\mathcal{D}
D 和
D
′
\mathcal{D'}
D′ 之间的
H
\mathcal{H}
H divergence 为:
d
H
(
D
,
D
′
)
=
2
sup
h
∈
H
∣
Pr
D
[
I
(
h
)
]
−
Pr
D
′
[
I
(
h
)
]
∣
d_{\mathcal{H}}(\mathcal{D},\mathcal{D}')=2\sup_{h\in\mathcal{H}}|\text{Pr}_\mathcal{D}[I(h)]-\text{Pr}_{\mathcal{D}'}[I(h)]|
dH(D,D′)=2h∈Hsup∣PrD[I(h)]−PrD′[I(h)]∣
I
(
h
)
I(h)
I(h) 可以理解为
h
h
h 将输入空间分类成
1
1
1 的那部分集合, i.e.
I
(
h
)
=
{
x
∣
h
(
x
)
=
1
}
I(h)=\{x|h(x)=1\}
I(h)={x∣h(x)=1}. 所以
d
H
d_{\mathcal{H}}
dH 就是
I
(
h
)
I(h)
I(h) 在分布
D
\mathcal{D}
D 和
D
′
\mathcal{D}'
D′ 上的概率之差, 其中注意
sup
\sup
sup over all
h
∈
H
h \in \mathcal{H}
h∈H, 也就是选取令概率之差最大的那个假设
h
h
h.
H
\mathcal{H}
H Divergence 的好处是: 1) 可以使用有限的样本来估计, 也就是
d
H
d_{\mathcal{H}}
dH 可以用
d
^
H
\hat{d}_{\mathcal{H}}
d^H 来近似. 文章给出了 Lemma 2 和 Lemma 1, 分别为
d
^
H
\hat{d}_{\mathcal{H}}
d^H 的计算公式和使用 VC dimension 作为复杂度计算
d
H
d_{\mathcal{H}}
dH 与
d
^
H
\hat{d}_{\mathcal{H}}
d^H 的 bound . 2)
d
H
≤
d
1
d_{\mathcal{H}} \leq d_{1}
dH≤d1.
这里 empirical 版本的计算与估计并不重要, 使用不同的复杂度可以得到不同的 bound 方式, 所以跳过 Lemma 1,2.
首先给出一个定义:
Def. 2:
h
∗
h^*
h∗ 为 ideal joint hypothesis, 它最小化了源域和目标域的联合误差(combined error). 用
λ
\lambda
λ 表示相对应的combined error:
h
∗
=
arg
min
h
∈
H
{
ϵ
S
(
h
)
+
ϵ
T
(
h
)
}
λ
=
ϵ
S
(
h
∗
)
+
ϵ
T
(
h
∗
)
h^* = \arg\min_{h\in\mathcal{H}} \{\epsilon_S(h)+\epsilon_T(h)\}\\ \lambda =\epsilon_S(h^*)+\epsilon_T(h^*)
h∗=argh∈Hmin{ϵS(h)+ϵT(h)}λ=ϵS(h∗)+ϵT(h∗)
然后给出一个新的 hypothesis space:
H
Δ
H
\mathcal{H}\Delta\mathcal{H}
HΔH
Def.3 对于一个 hypothesis space
H
\mathcal{H}
H, 它相对应的
H
Δ
H
\mathcal{H}\Delta\mathcal{H}
HΔH 空间为:
g
∈
H
Δ
H
⇔
g
(
x
)
=
h
(
x
)
⊕
h
′
(
x
)
for some
h
,
h
′
∈
H
g \in \mathcal{H}\Delta\mathcal{H} \Leftrightarrow g(x)=h(x)\oplus h'(x) \text{ for some } h, h'\in\mathcal{H}
g∈HΔH⇔g(x)=h(x)⊕h′(x) for some h,h′∈H
举个一维输入空间的简单例子: 考虑这样的一个 hypothesis class:
H
:
=
{
h
α
:
α
∈
R
}
.
h
α
(
x
)
=
{
1
,
x
≥
α
0
,
x
<
α
\mathcal{H}:=\{h_\alpha: \alpha\in \mathbb{R}\}.\\ h_\alpha(x)=\left\{\begin{matrix} 1, & x\geq \alpha \\ 0, & x < \alpha \end{matrix}\right.
H:={hα:α∈R}.hα(x)={1,0,x≥αx<α
那么, 它相应的
H
Δ
H
\mathcal{H}\Delta\mathcal{H}
HΔH 空间就是:
H
Δ
H
=
{
g
α
1
,
α
2
:
α
1
,
α
2
∈
R
}
.
g
α
1
,
α
2
=
{
1
,
x
∈
(
α
1
,
α
2
)
0
,
o
.
w
.
\mathcal{H}\Delta\mathcal{H}=\{g_{\alpha_1,\alpha_2}:\alpha_1,\alpha_2\in\mathbb{R}\}.\\ g_{\alpha_1,\alpha_2}=\left\{\begin{matrix} 1, & x\in(\alpha_1,\alpha_2)\\ 0, & o.w. \end{matrix}\right.
HΔH={gα1,α2:α1,α2∈R}.gα1,α2={1,0,x∈(α1,α2)o.w.
这时, 将
H
\mathcal{H}
H Divergence 中的假设空间换成
H
Δ
H
\mathcal{H}\Delta\mathcal{H}
HΔH 空间, 就得出了
H
Δ
H
\mathcal{H}\Delta\mathcal{H}
HΔH Divergence. 如果按照定义从头推算一遍就是:
d
H
Δ
H
(
D
S
,
D
T
)
=
2
sup
g
∈
H
Δ
H
∣
Pr
D
S
[
I
(
g
)
]
−
Pr
D
T
[
I
(
g
)
]
∣
=
2
sup
h
,
h
′
∈
H
∣
Pr
x
∼
D
S
[
h
(
x
)
≠
h
′
(
x
)
]
−
Pr
x
∼
D
T
[
h
(
x
)
≠
h
′
(
x
)
]
∣
=
2
sup
h
,
h
′
∈
H
∣
ϵ
S
(
h
,
h
′
)
−
ϵ
T
(
h
,
h
′
)
∣
d_{\mathcal{H}\Delta\mathcal{H}}(\mathcal{D}_S,\mathcal{D}_T)=2\sup_{g \in \mathcal{H}\Delta\mathcal{H}} |\Pr_{\mathcal{D}_S}[I(g)]-\Pr_{\mathcal{D}_T}[I(g)]|\\ =2\sup_{h,h' \in \mathcal{H}} |\Pr_{x\sim\mathcal{D}_S}[h(x)\neq h'(x)]-\Pr_{x\sim\mathcal{D}_T}[h(x)\neq h'(x)]|\\ =2\sup_{h,h' \in \mathcal{H}} |\epsilon_S(h,h')-\epsilon_T(h,h')|
dHΔH(DS,DT)=2g∈HΔHsup∣DSPr[I(g)]−DTPr[I(g)]∣=2h,h′∈Hsup∣x∼DSPr[h(x)=h′(x)]−x∼DTPr[h(x)=h′(x)]∣=2h,h′∈Hsup∣ϵS(h,h′)−ϵT(h,h′)∣
其中第二行是因为,
I
(
g
)
I(g)
I(g) 即为
g
(
x
)
=
1
g(x)=1
g(x)=1 的那部分输入空间的集合, 由 Def.3 可知,
g
(
x
)
=
1
g(x)=1
g(x)=1 等价于
h
(
x
)
≠
h
′
(
x
)
h(x)\neq h'(x)
h(x)=h′(x), 虽然不知道具体哪个
h
,
h
′
h,h'
h,h′, 但只关心在假设空间中令概率差值最大的那两个.
这同时也十分直观的得到了 Lemma 3:
对任意两个 hypotheses
h
,
h
′
h,h'
h,h′,
∣
ϵ
S
(
h
,
h
′
)
−
ϵ
T
(
h
,
h
′
)
∣
≤
1
2
d
H
Δ
H
(
D
S
,
D
T
)
|\epsilon_S(h,h')-\epsilon_T(h,h')|\leq\frac{1}{2} d_{\mathcal{H}\Delta\mathcal{H}}(D_S,D_T)
∣ϵS(h,h′)−ϵT(h,h′)∣≤21dHΔH(DS,DT)
有了以上信息, 我们可以用
d
H
Δ
H
d_{\mathcal{H}\Delta\mathcal{H}}
dHΔH给出
ϵ
T
\epsilon_T
ϵT 的上界:
Thm.2:
H
\mathcal{H}
H 为 VC-dim = d 的假设空间,
U
S
,
U
T
\mathcal{U}_S, \mathcal{U}_T
US,UT 为来自于
D
S
,
D
T
\mathcal{D}_S, \mathcal{D}_T
DS,DT 的, 大小为
m
′
m'
m′ 的样本. 那么对于任意的
δ
∈
(
0
,
1
)
\delta\in(0,1)
δ∈(0,1) 和任意的
h
∈
H
h\in\mathcal{H}
h∈H , 以下不等式至少
1
−
δ
1-\delta
1−δ 的概率成立:
ϵ
T
(
h
)
≤
ϵ
S
(
h
)
+
1
2
d
H
Δ
H
(
D
S
,
D
T
)
+
λ
\epsilon_T(h)\leq\epsilon_S(h)+\frac{1}{2}{d}_{\mathcal{H}\Delta\mathcal{H}}(\mathcal{D}_S,\mathcal{D}_T)+\lambda
ϵT(h)≤ϵS(h)+21dHΔH(DS,DT)+λ
同样的, 先忽略 empircal 的那部分.
d
H
Δ
H
(
D
S
,
D
T
)
{d}_{\mathcal{H}\Delta\mathcal{H}}(\mathcal{D}_S,\mathcal{D}_T)
dHΔH(DS,DT) 表示了两个域的分布之间的差异, 同时与
H
\mathcal{H}
H 有关.
λ
\lambda
λ 表示的是
H
\mathcal{H}
H 在两个域上最小的联合错误率, 其实也蕴含了两个域分布之间的关系, 同时又与
H
\mathcal{H}
H 有关. 所以
ϵ
T
(
h
)
−
ϵ
S
(
h
)
\epsilon_T(h)-\epsilon_S(h)
ϵT(h)−ϵS(h) 用
d
H
Δ
H
(
D
S
,
D
T
)
{d}_{\mathcal{H}\Delta\mathcal{H}}(\mathcal{D}_S,\mathcal{D}_T)
dHΔH(DS,DT) 和
λ
\lambda
λ 进行 bound 很合理.
证明十分简单, 主要就是用到 triangle inequality, 文章中也给出了完整的证明过程, 这里就不粘贴了.
现在考虑这样的学习模式:
训练集为
S
=
(
S
T
,
S
S
)
S=(S_T,S_S)
S=(ST,SS), 其中
S
T
S_T
ST 为
β
m
\beta m
βm 个从分布
D
T
\mathcal{D}_T
DT 中采样的实例,
S
S
S_S
SS 为
(
1
−
β
)
m
(1-\beta)m
(1−β)m 个从分布
D
S
\mathcal{D}_S
DS 中独立采样的实例. 学习的目标是寻找一个
h
h
h 以最小化
ϵ
T
(
h
)
\epsilon_T(h)
ϵT(h). 这里考虑使用 ERM, 但 Domain adaptation 任务中
β
\beta
β 往往很小, 所以直接最小化 target error 不合适. 作者考虑在训练过程中, 最小化 source error 和 target error 的和:
ϵ
^
α
(
h
)
=
α
ϵ
^
T
(
h
)
+
(
1
−
α
)
ϵ
^
S
(
h
)
\hat{\epsilon}_\alpha(h)=\alpha\hat{\epsilon}_T(h)+(1-\alpha)\hat{\epsilon}_S(h)
ϵ^α(h)=αϵ^T(h)+(1−α)ϵ^S(h)
其中
α
∈
[
0
,
1
]
\alpha\in[0,1]
α∈[0,1]. 接下来, 文章给出了两个 定理, 分别为
ϵ
T
(
h
)
\epsilon_T(h)
ϵT(h) 与
ϵ
α
(
h
)
\epsilon_\alpha(h)
ϵα(h) 之间的bound (Lemma 4) 和
ϵ
α
(
h
)
\epsilon_\alpha(h)
ϵα(h) 与
ϵ
^
α
(
h
)
\hat{\epsilon}_\alpha(h)
ϵ^α(h) 之间的 bound (Lemma 5).
Lemma. 4:
对于任意一个
h
∈
H
h\in\mathcal{H}
h∈H,
∣
ϵ
α
(
h
)
−
ϵ
T
(
h
)
∣
≤
(
1
−
α
)
(
1
2
d
H
Δ
H
(
D
S
,
D
T
)
+
λ
)
|\epsilon_\alpha(h)-\epsilon_T(h)|\leq(1-\alpha)\left(\frac{1}{2} d_{\mathcal{H}\Delta\mathcal{H}}(D_S,D_T)+\lambda \right)
∣ϵα(h)−ϵT(h)∣≤(1−α)(21dHΔH(DS,DT)+λ)
证明同样依赖于 用到 triangle inequality:

而且如果把 Lemma 4 左边的
ϵ
α
\epsilon_\alpha
ϵα 展开, 再左右两边消掉
(
1
−
α
)
(1-\alpha)
(1−α), 此时 Lemma 4 与 Thm.2 其实是等价的.
Lemma 5: 对于一个 hypothesis
h
h
h, 如果训练样本是由
β
m
\beta m
βm 个从分布
D
T
\mathcal{D}_T
DT 采样的实例和
(
1
−
β
)
m
(1-\beta)m
(1−β)m 个从分布
D
S
\mathcal{D}_S
DS 采样的实例构成的, 且这些实例被
f
S
,
f
T
f_S, f_T
fS,fT 打上标签. 那么, 对于任何的
δ
∈
(
0
,
1
)
\delta\in(0,1)
δ∈(0,1), 下式至少有
1
−
δ
1-\delta
1−δ 的概率成立:
Pr
[
∣
ϵ
^
α
(
h
)
−
ϵ
α
(
h
)
∣
≥
ϵ
]
≤
exp
[
−
2
m
ϵ
2
α
2
β
+
(
1
−
α
)
2
1
−
β
]
\Pr[|\hat{\epsilon}_\alpha(h)-\epsilon_\alpha(h)|\geq \epsilon]\leq\exp[\frac{-2m\epsilon^2}{\frac{\alpha^2}{\beta}+\frac{(1-\alpha)^2}{1-\beta}}]
Pr[∣ϵ^α(h)−ϵα(h)∣≥ϵ]≤exp[βα2+1−β(1−α)2−2mϵ2]
证明依赖于 Hoeffding Inequality, 我在这篇博客中给了 2) Chernoff bound, Hoeffding’s Lemma, Hoeffding’s inequality 定理的介绍和推导.
证明:
按
ϵ
^
α
\hat{\epsilon}_{\alpha}
ϵ^α 的定义和 empirical error 的定义展开, 有:

这个形式就很容易观察了.
令
X
1
,
.
.
.
,
X
β
m
X_1,..., X_{\beta m}
X1,...,Xβm 表示值为
α
β
∣
h
(
x
)
−
f
T
(
x
)
∣
\frac{\alpha}{\beta}|h(x)-f_T(x)|
βα∣h(x)−fT(x)∣ 的随机变量.
令
X
β
m
+
1
,
.
.
.
,
X
m
X_{\beta m + 1},..., X_{m}
Xβm+1,...,Xm 表示值为
1
−
α
1
−
β
∣
h
(
x
)
−
f
S
(
x
)
∣
\frac{1-\alpha}{1-\beta}|h(x)-f_S(x)|
1−β1−α∣h(x)−fS(x)∣ 的随机变量.
那么, 很容易计算出
ϵ
^
α
(
h
)
=
1
m
∑
i
=
1
m
X
i
\hat{\epsilon}_{\alpha}(h)=\frac{1}{m}\sum_{i=1}^m X_i
ϵ^α(h)=m1∑i=1mXi , 且
E
[
ϵ
^
α
(
h
)
]
=
ϵ
α
(
h
)
\mathbf{E}[\hat{\epsilon}_{\alpha}(h)]=\epsilon_{\alpha}(h)
E[ϵ^α(h)]=ϵα(h), 所以直接应用 Hoeffding Inequality 就得到 Lemma 5 的不等式.
Thm.3:
H
\mathcal{H}
H 为 VC-dim=d 的假设空间,
U
S
\mathcal{U}_S
US 和
U
T
\mathcal{U}_T
UT 为从
D
S
\mathcal{D}_S
DS 和
D
T
\mathcal{D}_T
DT 采样得到的
m
′
m'
m′ 个 unlabeled 的实例.
S
S
S 是从
D
S
\mathcal{D}_S
DS 采样得到的
(
1
−
β
)
m
(1-\beta)m
(1−β)m 个 labeled 的实例和
D
T
\mathcal{D}_T
DT 采样得到的
β
m
\beta m
βm 个 labeled 的实例的集合, 其中使用分别的 ground truth functions
f
S
,
f
T
f_S, f_T
fS,fT 进行 labeling. 如果
h
^
=
arg
min
h
∈
H
ϵ
^
α
\hat{h}=\arg\min_{h\in\mathcal{H}} \hat{\epsilon}_\alpha
h^=argminh∈Hϵ^α, 其中训练集为
S
S
S,
h
T
∗
=
arg
min
h
∈
H
ϵ
T
h^*_T=\arg\min_{h\in\mathcal{H}} \epsilon_T
hT∗=argminh∈HϵT, 那么, 对于任何的
δ
∈
(
0
,
1
)
\delta\in(0,1)
δ∈(0,1), 下式至少有
1
−
δ
1-\delta
1−δ 的概率成立:
ϵ
T
(
h
^
)
≤
ϵ
T
(
h
T
∗
)
+
4
α
2
β
+
(
1
−
α
)
2
1
−
β
2
d
log
(
2
(
m
+
1
)
)
+
2
log
8
δ
m
+
2
(
1
−
α
)
(
1
2
d
^
H
Δ
H
(
U
S
,
U
T
)
+
4
2
d
log
(
2
m
′
)
+
2
log
8
δ
m
′
+
λ
′
)
\epsilon_T(\hat{h})\leq \epsilon_T(h^*_T)+4\sqrt{\frac{\alpha^2}{\beta}+\frac{(1-\alpha)^2}{1-\beta}} \sqrt{\frac{2d\log(2(m+1))+2\log\frac{8}{\delta}}{m}}+2(1-\alpha)(\frac{1}{2}\hat{d}_{\mathcal{H}\Delta\mathcal{H}}(\mathcal{U}_S,\mathcal{U}_T)+4\sqrt{\frac{2d\log(2m')+2\log\frac{8}{\delta}}{m'}}+\lambda')
ϵT(h^)≤ϵT(hT∗)+4βα2+1−β(1−α)2m2dlog(2(m+1))+2logδ8+2(1−α)(21d^HΔH(US,UT)+4m′2dlog(2m′)+2logδ8+λ′)
证明文章附录中已给出, 多次应用 Lemma 4 和 5 便可推出结论.
前几节的结论都是基于一个 source domain 和一个 target domain, 接下来将结论扩展到多个 source domain 的情景.
Several Domain adaptation 设定:
还是考虑使用 ERM 作为学习算法, 所以需要定义 empirical error. 由于数据来自于多个域, 所以考虑最简单的方式 - 加权, 即对任意 hypothesis
h
h
h, 定义它的 empirical
α
\alpha
α-weighted error:
ϵ
^
α
(
h
)
=
∑
j
=
1
N
α
j
ϵ
^
j
(
h
)
=
∑
j
=
1
N
α
j
m
j
∑
x
∈
S
j
∣
h
(
x
)
−
f
j
(
x
)
∣
\hat{\epsilon}_\alpha(h)=\sum_{j=1}^N \alpha_j\hat{\epsilon}_j(h)\\ =\sum_{j=1}^N \frac{\alpha_j}{m_j}\sum_{x\in S_j}|h(x)-f_j(x)|
ϵ^α(h)=j=1∑Nαjϵ^j(h)=j=1∑Nmjαjx∈Sj∑∣h(x)−fj(x)∣
True
α
\alpha
α-weighted error:
ϵ
α
(
h
)
=
∑
j
=
1
N
α
j
ϵ
j
(
h
)
\epsilon_\alpha(h) = \sum_{j=1}^N \alpha_j\epsilon_j(h)
ϵα(h)=j=1∑Nαjϵj(h)
其中, 权重为
α
=
(
α
1
,
.
.
.
,
α
N
)
\alpha=(\alpha_1,...,\alpha_N)
α=(α1,...,αN) 且
∑
α
j
=
1
\sum \alpha_j=1
∑αj=1.
为了推算出类似于 Thm.3 的结论, 文章又给出了 Lemma 6 和 Thm.4.
这个定理忽略了域之间的差距问题, 只考虑
α
\alpha
α 与
β
\beta
β 的设定对 |empirical - true| 的影响, 文章中将
α
j
\alpha_j
αj 与
β
j
\beta_j
βj 称为
S
j
S_j
Sj 的 quality 与 quantity.
Lemma.6:
S
j
S_j
Sj (
j
=
1
,
.
.
.
,
N
j=1,...,N
j=1,...,N) 为
m
j
=
β
j
m
m_j = \beta_j m
mj=βjm 个从分布
D
j
\mathcal{D}_j
Dj 采样的有标签的实例.
α
\alpha
α为任意的权重向量. 对于某些固定的 hypothesis
h
h
h 和任意的
δ
∈
(
0
,
1
)
\delta\in(0,1)
δ∈(0,1), 下式至少有
1
−
δ
1-\delta
1−δ 的概率成立:
Pr
[
∣
ϵ
^
α
(
h
)
−
ϵ
α
(
h
)
∣
≥
ϵ
]
≤
2
exp
(
−
2
m
ϵ
2
∑
j
=
1
N
α
j
2
β
j
)
\Pr[|\hat{\epsilon}_\alpha(h)-\epsilon_\alpha(h) |\geq \epsilon]\leq 2\exp (\frac{-2m\epsilon^2}{\sum_{j=1}^N \frac{\alpha_j^2}{\beta_j}})
Pr[∣ϵ^α(h)−ϵα(h)∣≥ϵ]≤2exp(∑j=1Nβjαj2−2mϵ2)
证明与 Lemma.5 的类似:
在每个域中定义不同的随机变量, 在
S
j
S_j
Sj 中: 令
X
j
,
1
,
.
.
.
,
X
j
,
β
j
m
X_{j,1},..., X_{j,\beta_j m}
Xj,1,...,Xj,βjm 表示值为
α
j
β
j
∣
h
(
x
)
−
f
j
(
x
)
∣
\frac{\alpha_j}{\beta_j}|h(x)-f_j(x)|
βjαj∣h(x)−fj(x)∣ 的随机变量.
然后很容易计算出
ϵ
^
α
(
h
)
=
1
m
∑
j
=
1
m
∑
β
j
m
i
=
1
X
j
,
i
\hat{\epsilon}_{\alpha}(h)=\frac{1}{m}\sum_{j=1}^m\sum_{\beta_j m}^{i=1} X_{j,i}
ϵ^α(h)=m1∑j=1m∑βjmi=1Xj,i , 且
E
[
ϵ
^
α
(
h
)
]
=
ϵ
α
(
h
)
\mathbf{E}[\hat{\epsilon}_{\alpha}(h)]=\epsilon_{\alpha}(h)
E[ϵ^α(h)]=ϵα(h), 所以直接应用 Hoeffding Inequality 就得到 Lemma 6 的不等式.
Thm.4 与 Thm.5 考虑两个 hypotheses 的差别, 分别为用ERM 最小化 empirical α \alpha α-weighted error 得到的 hypothesis ( h T ∗ h^*_T hT∗) 与在 target domain 上泛化最好的 hypothesis ( h ^ \hat{h} h^). 它们在 target domain 上的错误率的差别可以通过域之间的差别( H Δ H \mathcal{H}\Delta\mathcal{H} HΔH-divergence)来表示, 不过 H Δ H \mathcal{H}\Delta\mathcal{H} HΔH-divergence 表示的是 true error 之间的差别, 所以应用上面的Lemma.6 ( true error 与 empirical error 的差别) 可以得到结论.
Thm.4 与 Thm.5 的区别是在用
H
Δ
H
\mathcal{H}\Delta\mathcal{H}
HΔH-divergence 表示域之间的差别时, Thm.4 考虑的是每个 source dist. 与 target dist.之间的差别(不等式a), 而 Thm.5 考虑的是将多个源域分布合并成一个分布, 类似于高斯混合, 然后计算这个混合分布与 target dist. 之间的差别(不等式b).
Thm.4:
H
\mathcal{H}
H 为 VC-dim=d 的假设空间,
S
j
S_j
Sj (
j
=
1
,
.
.
.
,
N
j=1,...,N
j=1,...,N) 为
m
j
=
β
j
m
m_j = \beta_j m
mj=βjm 个从分布
D
j
\mathcal{D}_j
Dj 采样的有标签的实例. 如果
h
^
=
arg
min
h
∈
H
ϵ
^
α
(
h
)
\hat{h}=\arg\min_{h\in\mathcal{H}} \hat{\epsilon}_\alpha (h)
h^=argminh∈Hϵ^α(h), 其中训练集为
S
=
{
S
j
}
j
=
1
N
S=\{S_j\}_{j=1}^N
S={Sj}j=1N,
h
T
∗
=
arg
min
h
∈
H
ϵ
T
(
h
)
h^*_T=\arg\min_{h\in\mathcal{H}} \epsilon_T(h)
hT∗=argminh∈HϵT(h), 那么, 对于任何的
δ
∈
(
0
,
1
)
\delta\in(0,1)
δ∈(0,1), 下式至少有
1
−
δ
1-\delta
1−δ 的概率成立:
ϵ
T
(
h
^
)
≤
ϵ
T
(
h
T
∗
)
+
2
(
∑
j
=
1
N
α
j
2
β
j
)
(
d
log
(
2
m
)
−
log
(
δ
)
2
m
)
+
∑
j
=
1
N
α
j
(
2
λ
j
+
d
H
Δ
H
(
D
j
,
D
T
)
)
\epsilon_T(\hat{h})\leq \epsilon_T(h^*_T)+2\sqrt{(\sum_{j=1}^N\frac{\alpha_j^2}{\beta_j})(\frac{d\log(2m)-\log(\delta)}{2m})}+\sum_{j=1}^N\alpha_j(2\lambda_j+d_{\mathcal{H}\Delta\mathcal{H}}(\mathcal{D}_j,\mathcal{D}_T))
ϵT(h^)≤ϵT(hT∗)+2(j=1∑Nβjαj2)(2mdlog(2m)−log(δ))+j=1∑Nαj(2λj+dHΔH(Dj,DT))
其中,
λ
j
=
min
h
∈
H
{
ϵ
T
(
h
)
+
ϵ
j
(
h
)
}
\lambda_j=\min_{h\in\mathcal{H}}\{\epsilon_T(h)+\epsilon_j(h)\}
λj=minh∈H{ϵT(h)+ϵj(h)} 是域
j
j
j与目标域的 combined error.

首先令
h
j
∗
h_j^*
hj∗ 表示域
j
j
j 与目标域的 ideal joint hypothesis, 所以
λ
j
=
ϵ
T
(
h
j
∗
)
+
ϵ
j
(
h
j
∗
)
\lambda_j=\epsilon_T(h_j^*)+\epsilon_j(h_j^*)
λj=ϵT(hj∗)+ϵj(hj∗). 在绝对值内加一项再减一项, 然后将绝对值符号移到外面, 在利用
h
∗
h^*
h∗ 的定义与 Lemma.3就得到了图中的结论. 上面的不等式(记为不等式a)适用于所有的
h
∈
H
h\in\mathcal{H}
h∈H, 所以同样适用于
h
^
∈
H
\hat{h}\in\mathcal{H}
h^∈H:

第二行来自于 Lemma.6(|
ϵ
α
(
h
)
−
ϵ
^
α
(
h
)
∣
\epsilon_\alpha(h)-\hat{\epsilon}_\alpha(h)|
ϵα(h)−ϵ^α(h)∣). 最后一行来自于
ϵ
T
−
ϵ
α
(
h
)
≤
\epsilon_T-\epsilon_\alpha(h)\leq
ϵT−ϵα(h)≤ 不等式a.
与 Thm.4的描述完全相同, 区别在 8.2 中已经介绍.
Thm.5
H
\mathcal{H}
H 为 VC-dim=d 的假设空间,
S
j
S_j
Sj (
j
=
1
,
.
.
.
,
N
j=1,...,N
j=1,...,N) 为
m
j
=
β
j
m
m_j = \beta_j m
mj=βjm 个从分布
D
j
\mathcal{D}_j
Dj 采样的有标签的实例. 如果
h
^
=
arg
min
h
∈
H
ϵ
^
α
(
h
)
\hat{h}=\arg\min_{h\in\mathcal{H}} \hat{\epsilon}_\alpha (h)
h^=argminh∈Hϵ^α(h), 其中训练集为
S
=
{
S
j
}
j
=
1
N
S=\{S_j\}_{j=1}^N
S={Sj}j=1N,
h
T
∗
=
arg
min
h
∈
H
ϵ
T
(
h
)
h^*_T=\arg\min_{h\in\mathcal{H}} \epsilon_T(h)
hT∗=argminh∈HϵT(h), 那么, 对于任何的
δ
∈
(
0
,
1
)
\delta\in(0,1)
δ∈(0,1), 下式至少有
1
−
δ
1-\delta
1−δ 的概率成立:
ϵ
T
(
h
^
)
≤
ϵ
T
(
h
T
∗
)
+
2
(
∑
j
=
1
N
α
j
2
β
j
)
(
2
d
log
(
2
(
m
+
1
)
)
−
log
(
4
δ
)
m
)
+
(
2
γ
α
+
d
H
Δ
H
(
D
α
,
D
T
)
)
\epsilon_T(\hat{h})\leq \epsilon_T(h^*_T)+2\sqrt{(\sum_{j=1}^N\frac{\alpha_j^2}{\beta_j})(\frac{2d\log(2(m+1))-\log(\frac{4}{\delta})}{m})}+(2\gamma_\alpha +d_{\mathcal{H}\Delta\mathcal{H}}(\mathcal{D}_\alpha,\mathcal{D}_T))
ϵT(h^)≤ϵT(hT∗)+2(j=1∑Nβjαj2)(m2dlog(2(m+1))−log(δ4))+(2γα+dHΔH(Dα,DT))
其中,
D
α
\mathcal{D}_\alpha
Dα 是 N 个 source dist.s 的混合分布, 混合的权重即
α
\alpha
α 向量,
γ
α
=
min
h
∈
H
{
ϵ
T
(
h
)
+
ϵ
α
(
h
)
}
\gamma_\alpha = \min_{h\in\mathcal{H}}\{\epsilon_T(h)+\epsilon_\alpha(h)\}
γα=minh∈H{ϵT(h)+ϵα(h)} 是 True
α
\alpha
α-weighted error 与 target error 的和. 与不等式a 证明类似, 首先令
h
∗
=
arg
min
h
∈
H
{
ϵ
T
(
h
)
+
ϵ
α
(
h
)
}
h^*=\arg\min_{h\in\mathcal{H}}\{\epsilon_T(h)+\epsilon_\alpha(h)\}
h∗=argminh∈H{ϵT(h)+ϵα(h)}, 那么
γ
α
=
ϵ
T
(
h
∗
)
+
ϵ
α
(
h
∗
)
\gamma_\alpha = \epsilon_T(h^*)+\epsilon_\alpha(h^*)
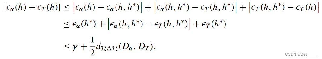
γα=ϵT(h∗)+ϵα(h∗). 基于此, 文章给了与不等式a类似的bound, 这里将其称为不等式b:

与不等式a 同样的证明方式. 接下来的证明也完全相同, 利用 Lemma.6.