目录
递归Math.max(getMaxDepth(root.left)+1,getMaxDepth(root.right)+1)
递归deep(left.left, right.right) && deep(left.right, right.left)
Math.floor(left + (right - left) / 2)
- function TreeNode(x) {
- this.val = x;
- this.left = null;
- this.right = null;
- }
- //反序列化二叉树:tree->str 把一棵二叉树按照某种遍历方式的结果以某种格式保存为字符串
- function Serialize(pRoot, arr = []) {
- if (!pRoot) {
- arr.push("#");
- return arr;
- } else {
- arr.push(pRoot.val);//注意是val。而不是root
- Serialize(pRoot.left, arr);
- Serialize(pRoot.right, arr);
- }
- return arr;
- }
- //序列化二叉树:str->tree 根据字符串结果str,重构二叉树
- function Deserialize(s) {
- //转换为数组
- let arr = Array.isArray(s) ? s : s.split("");
- //取出val
- let a = arr.shift();
- //构建二叉树结点
- let node = null;
- if (typeof a === "number") {
- //还有可能等于#
- node = new TreeNode(a);
- node.left = Deserialize(arr);
- node.right = Deserialize(arr);
- }
- return node;
- }
- module.exports = {
- Serialize: Serialize,
- Deserialize: Deserialize,
- };
递归->栈
- //递归
- function recursion() {
- let res;
- res+=recursion(...);
- return res;
- }
- //栈
- function iterative() {
- let res;
- const stack = [root];
- while (stack.length > 0) {
- const current = stack.pop();
- res+=...
- stack.push();
- }
- return res;
- }
- /**
- * Definition for a binary tree node.
- * function TreeNode(val, left, right) {
- * this.val = (val===undefined ? 0 : val)
- * this.left = (left===undefined ? null : left)
- * this.right = (right===undefined ? null : right)
- * }
- */
- /**
- * @param {TreeNode} root
- * @return {number[]}
- */
- var preorderTraversal = function(root) {
- let stack=[]
- let res = []
- let cur = null;
- if(!root) return res;
- root&&stack.push(root)
- while(stack.length){
- cur = stack.pop()
- res.push(cur.val)
- cur.right&&stack.push(cur.right)
- cur.left&&stack.push(cur.left)
- }
- return res
- };
指针的遍历来帮助访问节点,栈则用来处理节点上的元素
- /**
- * Definition for a binary tree node.
- * function TreeNode(val, left, right) {
- * this.val = (val===undefined ? 0 : val)
- * this.left = (left===undefined ? null : left)
- * this.right = (right===undefined ? null : right)
- * }
- */
- /**
- * @param {TreeNode} root
- * @return {number[]}
- */
- var inorderTraversal = function(root) {
- let stack = []
- let res = []
- let cur = root
- while(cur||stack.length){
- if(cur){
- stack.push(cur)
- cur = cur.left
- } else {
- cur = stack.pop()
- res.push(cur.val)
- cur = cur.right
- }
- }
- return res
- };
- /**
- * Definition for a binary tree node.
- * function TreeNode(val, left, right) {
- * this.val = (val===undefined ? 0 : val)
- * this.left = (left===undefined ? null : left)
- * this.right = (right===undefined ? null : right)
- * }
- */
- /**
- * @param {TreeNode} root
- * @return {number[]}
- */
- var postorderTraversal = function(root) {
- let stack = []
- let res = []
- let cur = root
- if(!root) return res
- stack.push(root)
- while(stack.length){
- cur = stack.pop()
- res.push(cur.val)
- cur.left&&stack.push(cur.left)
- cur.right&&stack.push(cur.right)
- }
- return res.reverse()
-
- };
树的层序遍历,相似 图的广度优先搜索
- /*
- * function TreeNode(x) {
- * this.val = x;
- * this.left = null;
- * this.right = null;
- * }
- */
-
- /**
- *
- * @param root TreeNode类
- * @return int整型二维数组
- */
- function levelOrder(root) {
- // write code here
- if (root == null) {
- return [];
- }
-
- const arr = [];
- const queue = [];
-
- queue.push(root);
-
- while (queue.length) {
- const preSize = queue.length;
- const floor = [];//当前层
- for (let i = 0; i < preSize; ++i) {
- const v = queue.shift();
- floor.push(v.val);
- v.left&&queue.push(v.left);
- v.right&&queue.push(v.right);
- }
- arr.push(floor);
- }
- return arr;//[[1],[2,3]]
- }
- module.exports = {
- levelOrder: levelOrder,
- };
完全二叉树:叶子节点只能出现在最下层和次下层,且最下层的叶子节点集中在树的左部。

- /*
- * function TreeNode(x) {
- * this.val = x;
- * this.left = null;
- * this.right = null;
- * }
- */
- /**
- * 代码中的类名、方法名、参数名已经指定,请勿修改,直接返回方法规定的值即可
- *
- *
- * @param root TreeNode类
- * @return bool布尔型
- */
- function isCompleteTree(root) {
- // write code here
- if (root == null) return true;
-
- const queue = [];
- queue.push(root);
-
- let flag = false; //是否遇到空节点
- while (queue.length) {
- const node = queue.shift();
- if (node == null) {
- //如果遇到某个节点为空,进行标记,代表到了完全二叉树的最下层
- flag = true;
- continue;
- }
-
- if (flag == true) {
- //若是后续还有访问,则说明提前出现了叶子节点,不符合完全二叉树的性质。
- return false;
- }
-
- queue.push(node.left);
- queue.push(node.right);
- }
- return true;
- }
- module.exports = {
- isCompleteTree: isCompleteTree,
- };
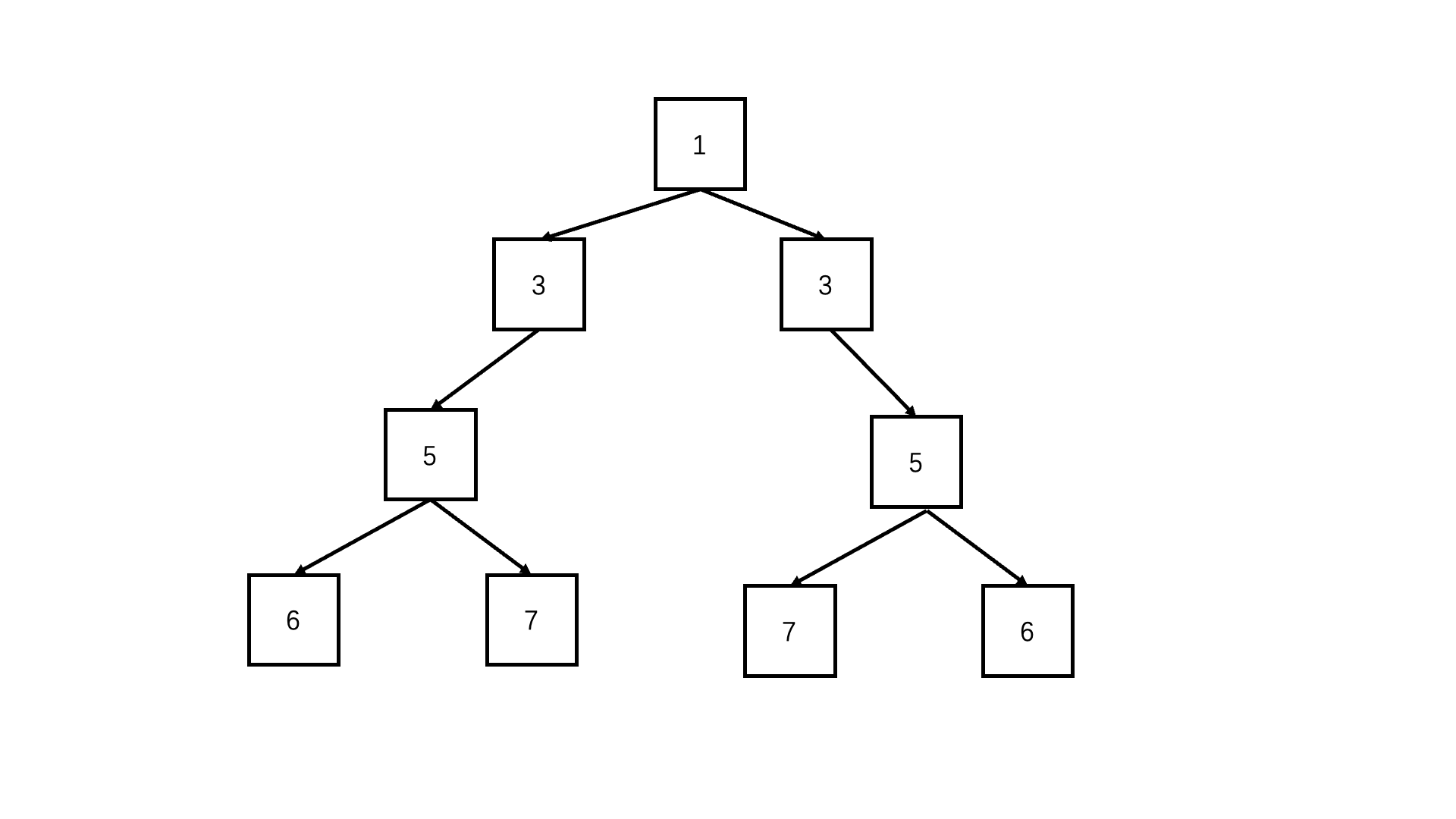
平衡二叉树是左子树的高度与右子树的高度差的绝对值小于等于1,同样左子树是平衡二叉树,右子树为平衡二叉树。
- /* function TreeNode(x) {
- this.val = x;
- this.left = null;
- this.right = null;
- } */
- function IsBalanced_Solution(pRoot)
- {
- if(!pRoot) return true;
- // write code here
- return (Math.abs(getMaxDepth(pRoot.left) - getMaxDepth(pRoot.right)) <=1) && IsBalanced_Solution(pRoot.left) && IsBalanced_Solution(pRoot.right)
- }
-
- function getMaxDepth(root) {
- if(!root) return 0;
- return Math.max(getMaxDepth(root.left)+1,getMaxDepth(root.right)+1)
- }
- module.exports = {
- IsBalanced_Solution : IsBalanced_Solution
- };

- /* function TreeNode(x) {
- this.val = x;
- this.left = null;
- this.right = null;
- } */
- let flag = true;
- function deep(left, right) {
- if (!left && !right) return true; //可以两个都为空
- if (!right||!left|| left.val !== right.val) {//只有一个为空或者节点值不同,必定不对称
- return false;
- }
- return deep(left.left, right.right) && deep(left.right, right.left); //每层对应的节点进入递归比较
- }
- function isSymmetrical(pRoot) {
- return deep(pRoot, pRoot);
- }
- module.exports = {
- isSymmetrical: isSymmetrical,
- };
先序遍历
- /*
- * function TreeNode(x) {
- * this.val = x;
- * this.left = null;
- * this.right = null;
- * }
- */
- /**
- * 代码中的类名、方法名、参数名已经指定,请勿修改,直接返回方法规定的值即可
- *
- *
- * @param pRoot TreeNode类
- * @return TreeNode类
- */
- function Mirror( pRoot ) {
-
- function traversal(root){
- if(root===null) return ;
- //交换左右孩子
- let temp = root.left;
- root.left = root.right;
- root.right = temp;
-
- traversal(root.left);
- traversal(root.right);
- return root;
- }
-
- return traversal(pRoot);
- // write code here
- }
- module.exports = {
- Mirror : Mirror
- };
如果从两个节点往上找,每个节点都往上走,一直走到根节点,那么根节点到这两个节点的连线肯定有相交的地方,
如果从上往下走,那么最后一次相交的节点就是他们的最近公共祖先节点。
- /*
- * function TreeNode(x) {
- * this.val = x;
- * this.left = null;
- * this.right = null;
- * }
- */
-
- /**
- *
- * @param root TreeNode类
- * @param o1 int整型
- * @param o2 int整型
- * @return int整型
- */
- function dfs(root, o1, o2) {
- if (root == null || root.val == o1 || root.val == o2) {
- return root;
- }
- //递归遍历左子树
- let left = dfs(root.left, o1, o2);
- //递归遍历右子树
- let right = dfs(root.right, o1, o2);
- //如果left、right都不为空,那么代表o1、o2在root的两侧,所以root为他们的公共祖先
- if (left && right) return root;
- //如果left、right有一个为空,那么就返回不为空的那一个
- return left != null ? left : right;
- }
- //前
- var buildTree = function(preorder, inorder) {
- if (!preorder.length) return null;
- const rootVal = preorder.shift(); // 从前序遍历的数组中获取中间节点的值, 即数组第一个值
- const index = inorder.indexOf(rootVal); // 获取中间节点在中序遍历中的下标
- const root = new TreeNode(rootVal); // 创建中间节点
- root.left = buildTree(preorder.slice(0, index), inorder.slice(0, index)); // 创建左节点
- root.right = buildTree(preorder.slice(index), inorder.slice(index + 1)); // 创建右节点
- return root;
- };
- //后
- var buildTree = function(inorder, postorder) {
- if (!inorder.length) return null;
- const rootVal = postorder.pop(); // 从后序遍历的数组中获取中间节点的值, 即数组最后一个值
- let rootIndex = inorder.indexOf(rootVal); // 获取中间节点在中序遍历中的下标
- const root = new TreeNode(rootVal); // 创建中间节点
- root.left = buildTree(inorder.slice(0, rootIndex), postorder.slice(0, rootIndex)); // 创建左节点
- root.right = buildTree(inorder.slice(rootIndex + 1), postorder.slice(rootIndex)); // 创建右节点
- return root;
- };
- var constructMaximumBinaryTree = function (nums) {
- const BuildTree = (arr, left, right) => {
- if (left > right)
- return null;
- let maxValue = -1;
- let maxIndex = -1;
- for (let i = left; i <= right; ++i) {
- if (arr[i] > maxValue) {
- maxValue = arr[i];
- maxIndex = i;
- }
- }
- let root = new TreeNode(maxValue);
- root.left = BuildTree(arr, left, maxIndex - 1);
- root.right = BuildTree(arr, maxIndex + 1, right);
- return root;
- }
- let root = BuildTree(nums, 0, nums.length - 1);
- return root;
- };
- /**
- * Definition for a binary tree node.
- * function TreeNode(val, left, right) {
- * this.val = (val===undefined ? 0 : val)
- * this.left = (left===undefined ? null : left)
- * this.right = (right===undefined ? null : right)
- * }
- */
- /**
- * @param {TreeNode} root
- * @param {number} key
- * @return {TreeNode}
- */
- var deleteNode = function(root, key) {
- if (!root) return null;
- if (key > root.val) {
- root.right = deleteNode(root.right, key);
- return root;
- } else if (key < root.val) {
- root.left = deleteNode(root.left, key);
- return root;
- } else {
- // 场景1: 该节点是叶节点
- if (!root.left && !root.right) {
- return null
- }
- // 场景2: 有一个孩子节点不存在
- if (root.left && !root.right) {
- return root.left;
- } else if (root.right && !root.left) {
- return root.right;
- }
- // 场景3: 左右节点都存在
- const rightNode = root.right;
- // 获取最小值节点
- const minNode = getMinNode(rightNode);
- // 将待删除节点的值替换为最小值节点值
- root.val = minNode.val;
- // 删除最小值节点
- root.right = deleteNode(root.right, minNode.val);
- return root;
- }
- };
- function getMinNode(root) {
- while (root.left) {
- root = root.left;
- }
- return root;
- }
修剪二叉搜索树,使得所有节点的值在[L, R]中 (R>=L)
- var trimBST = function (root,low,high) {
- if(root === null) {
- return null;
- }
- if(root.val < low) {
- let right = trimBST(root.right, low, high);
- return right;
- }
- if(root.val > high) {
- let left = trimBST(root.left, low, high);
- return left;
- }
- root.left = trimBST(root.left, low, high);
- root.right = trimBST(root.right, low, high);
- return root;
- }
- var sortedArrayToBST = function (nums) {
- const buildTree = (Arr, left, right) => {
- if (left > right)
- return null;
-
- let mid = Math.floor(left + (right - left) / 2);
-
- let root = new TreeNode(Arr[mid]);
- root.left = buildTree(Arr, left, mid - 1);
- root.right = buildTree(Arr, mid + 1, right);
- return root;
- }
- return buildTree(nums, 0, nums.length - 1);
- };
一个有序数组[2, 5, 13],求从后到前的累加数组,也就是[20, 18, 13]
累加的顺序是右中左,所以我们需要反中序遍历这个二叉树,然后顺序累加