张量在不同坐标系之间来回移动的规则究竟如何。
之前说过,张量在坐标系变化下是不变的,故了解如何在坐标系之间来回移动对理解张量很重要。
Forward:旧基 到 新基

old basis:旧基
这是在二维坐标系下的两组基。

线性代数中的基: 向量空间V中的一组向量 若满足:
1)线性无光
2)向量中间V中的任何一个向量 都可由 该组向量 线性表出,
则称该组向量为 向量空间V的 一组基
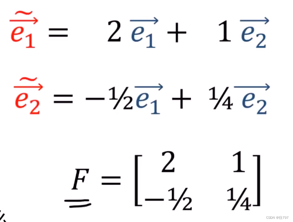
前向变换(Forward):从旧基转移到新基
如何转移?
--------------利用旧基向量 构建 新基向量

用旧基的线性组合来表示新基
可将这四个系数存储到一个2 x 2的矩阵F中,
矩阵F就是正向变换。

后向变换(Backward):从新基转移到旧基



知道这个矩阵B后,就知道如何进行后向转换了,如何从新基转移到旧基
把向前转换 和 向后转换 两个矩阵进行相乘, F*B= E

解释:
两边左乘
;
即
就是上边的 B矩阵

这是二维的例子。
现推广到n维,
也是类似的,有n个旧基:
,n个新基
,
向前转换:Forward

但这么多方程看起来有点烦人,
试试用公式简化
观察一下上图,就能写出下式:

一个新基 由 旧基中的所有向量的线性组合表示
该公式总结了上述的所有方程。
后向变换:Backward
也是类似的

用新基的所有向量的线性组合来表示 旧基中的任一向量
并把这些系数写到一个 n x n的矩阵B中
同样的道理,可以用一个公式来总结 上述n个方程。

对于获得的两个矩阵,我们如何证明它们是互逆的?


观察上面最底下的这个式子, 其不就是在用 n个旧基向量的求和 来 构建一个 旧基向量吗,
那么中间那部门应该等于多少?
当然是 k==i 时,中间那部分就为1, 当 k ≠ i 时,中间那块为0.

这种 if i = k,就为1; if i≠k,就为0; 是普遍现象,我们把它称为Kronecker Delta

就是表示出一个单位矩阵
解释:
\(new(\tilde e_{1},\tilde e_{2}...\tilde e_{n})^{T} = F( e_{1}, e_{2}...e_{n})^{T}\)两边左乘
;
\(F^{-1} * new(\tilde e_{1},\tilde e_{2}...\tilde e_{n})^{T} = ( e_{1}, e_{2}...e_{n})^{T}\)
即\(( e_{1}, e_{2}...e_{n})^{T} = F^{-1} * new(\tilde e_{1},\tilde e_{2}...\tilde e_{n})^{T}\)
就是上边的 B矩阵
