





















- #define _CRT_SECURE_NO_WARNINGS 1
-
- #include
- #include
- #include
-
- typedef int BTDataType;
-
- typedef struct BinaryTreeNode
- {
- struct BinaryTreeNode* left;
- struct BinaryTreeNode* right;
- BTDataType val;
- }BTNode;
-
- #include "Queue.h"
-
- // 通过前序遍历的数组"ABD##E#H##CF##G##"构建二叉树
- BTNode* BinaryTreeCreate(BTDataType* a, int* pi)
- {
- if (a[*pi] == -1)
- {
- ++(*pi);
- return NULL;
- }
-
- BTNode* root = (BTNode*)malloc(sizeof(BTNode));
- root->val = a[*pi];
- ++(*pi);
-
- root->left = BinaryTreeCreate(a, pi);
- root->right = BinaryTreeCreate(a, pi);
- return root;
- }
-
- //二叉树销毁
- void BinaryTreeDestory(BTNode** root)
- {
- if (*root == NULL)
- {
- return;
- }
- BinaryTreeDestory(&(*root)->left);
- BinaryTreeDestory(&(*root)->right);
- free(*root);
- *root = NULL;
- }
-
- // 二叉树节点个数
- int BinaryTreeSize(BTNode* root)
- {
- if (root == NULL)
- {
- return 0;
- }
-
- return BinaryTreeSize(root->left) + BinaryTreeSize(root->right) + 1;
- }
-
- // 二叉树叶子节点个数
- int BinaryTreeLeafSize(BTNode* root)
- {
- if (root == NULL)
- {
- return 0;
- }
-
- if (root->left == NULL && root->right == NULL)
- {
- return 1;
- }
-
- return BinaryTreeLeafSize(root->left) + BinaryTreeLeafSize(root->right);
- }
-
- // 二叉树第k层节点个数
- int BinaryTreeLevelKSize(BTNode* root, int k)
- {
- if (root == NULL)
- {
- return 0;
- }
-
- if (k == 1)
- {
- return 1;
- }
-
- return BinaryTreeLevelKSize(root->left, k-1) + BinaryTreeLevelKSize(root->right, k-1);
- }
-
- // 二叉树前序遍历
- void BinaryTreePrevOrder(BTNode* root)
- {
- if (root == NULL)
- {
- return;
- }
-
- printf("%d ", root->val);
- BinaryTreePrevOrder(root->left);
- BinaryTreePrevOrder(root->right);
- }
-
- // 二叉树查找值为x的节点
- BTNode* BinaryTreeFind(BTNode* root, BTDataType x)
- {
- if (root == NULL)
- {
- return NULL;
- }
-
- if (root->val == x)
- {
- return root;
- }
-
- BTNode* ret = NULL;
- ret = BinaryTreeFind(root->left, x);
- if (ret)
- {
- return ret;
- }
- ret = BinaryTreeFind(root->right, x);
- if (ret)
- {
- return ret;
- }
-
- return NULL;
- }
-
- // 二叉树中序遍历
- void BinaryTreeInOrder(BTNode* root)
- {
- if (root == NULL)
- {
- return;
- }
-
- BinaryTreeInOrder(root->left);
- printf("%d ", root->val);
- BinaryTreeInOrder(root->right);
- }
-
- // 二叉树后序遍历
- void BinaryTreePostOrder(BTNode* root)
- {
- if (root == NULL)
- {
- return;
- }
-
- BinaryTreePostOrder(root->left);
- BinaryTreePostOrder(root->right);
- printf("%d ", root->val);
- }
-
- // 层序遍历
- void BinaryTreeLevelOrder(BTNode* root)
- {
- Que q;
- QueueInit(&q);
-
- if (root)
- {
- QueuePush(&q, root);
- }
-
- while (!QueueEmpty(&q))
- {
- BTNode* front = QueueFront(&q);
-
- if (front->left)
- {
- QueuePush(&q, front->left);
- }
- if (front->right)
- {
- QueuePush(&q, front->right);
- }
-
- QueuePop(&q);
- printf("%d ", front->val);
- }
- QueueDestroy(&q);
- }
-
- // 判断二叉树是否是完全二叉树
- bool BinaryTreeComplete(BTNode* root)
- {
- Que q;
- QueueInit(&q);
-
- if (root)
- {
- QueuePush(&q, root);
- }
-
- while (!QueueEmpty(&q))
- {
- BTNode* front = QueueFront(&q);
- if (front == NULL)
- {
- break;
- }
- QueuePush(&q, front->left);
- QueuePush(&q, front->right);
- QueuePop(&q);
- }
-
- while (!QueueEmpty(&q))
- {
- BTNode* front = QueueFront(&q);
- QueuePop(&q);
-
- if (front != NULL)
- {
- QueueDestroy(&q);
- return false;
- }
- }
- QueueDestroy(&q);
- return true;
- }
-
- int main()
- {
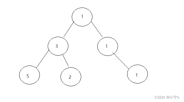
- int a[] = { 1,3,5,-1,-1,2,-1,-1,1,-1,1,-1,-1 };
- int j = 0;
- BTNode* root=BinaryTreeCreate(a, &j);
- bool x = BinaryTreeComplete(root);
- printf("%d", x);
- return 0;
- }
- #pragma once
-
- #include
- #include
- #include
- #include
-
- typedef struct BinaryTreeNode* QDataType;
- typedef struct QueueNode
- {
- struct QueueNode* next;
- QDataType data;
- }QNode;
-
- typedef struct Queue
- {
- QNode* head;
- QNode* tail;
- int size;
- }Que;
-
- void QueueInit(Que* pq);
- void QueueDestroy(Que* pq);
- void QueuePush(Que* pq, QDataType x);
- void QueuePop(Que* pq);
- QDataType QueueFront(Que* pq);
- QDataType QueueBack(Que* pq);
- bool QueueEmpty(Que* pq);
- int QueueSize(Que* pq);
- #define _CRT_SECURE_NO_WARNINGS 1
-
- #include "Queue.h"
-
- void QueueInit(Que* pq)
- {
- assert(pq);
-
- pq->head = pq->tail = NULL;
- pq->size = 0;
- }
-
- void QueueDestroy(Que* pq)
- {
- assert(pq);
-
- QNode* cur = pq->head;
- while (cur)
- {
- QNode* next = cur->next;
- free(cur);
- cur = next;
- }
-
- pq->head = pq->tail = NULL;
- pq->size = 0;
- }
-
- void QueuePush(Que* pq, QDataType x)
- {
- assert(pq);
-
- QNode* newnode = (QNode*)malloc(sizeof(QNode));
- if (newnode == NULL)
- {
- perror("malloc fail");
- exit(-1);
- }
-
- newnode->data = x;
- newnode->next = NULL;
-
- if (pq->tail == NULL)
- {
- pq->head = pq->tail = newnode;
- }
- else
- {
- pq->tail->next = newnode;
- pq->tail = newnode;
- }
-
- pq->size++;
- }
-
- void QueuePop(Que* pq)
- {
- assert(pq);
- assert(!QueueEmpty(pq));
-
- if (pq->head->next == NULL)
- {
- free(pq->head);
- pq->head = pq->tail = NULL;
- }
- else
- {
- QNode* next = pq->head->next;
- free(pq->head);
- pq->head = next;
- }
-
- pq->size--;
- }
-
- QDataType QueueFront(Que* pq)
- {
- assert(pq);
- assert(!QueueEmpty(pq));
-
- return pq->head->data;
- }
-
- QDataType QueueBack(Que* pq)
- {
- assert(pq);
- assert(!QueueEmpty(pq));
-
- return pq->tail->data;
- }
-
- bool QueueEmpty(Que* pq)
- {
- assert(pq);
-
- return pq->head == NULL;
- }
-
- int QueueSize(Que* pq)
- {
- assert(pq);
-
- return pq->size;
- }