题目
给定n组询问,每组询问给定两个整数a,b,请你输出C mod (10°+7)的值。
输入格式
第—行包含整数n。
接下来n行,每行包含—组a和b。
输出格式
共n行,每行输出一个询问的解。
数据范围
1≤n ≤ 10000,1
3
3 1
5 3
2 2
3
10
1
代码
#include
#include
using namespace std;
const int N = 2010,mod - 1e9 + 7;
int c[N][N];
void init()
{
for (int i - 0; i < N; i + )
for (int j - 0; j<=i; j ++ )
if (!j) c[i][j]= i;
else c[i][j]=(c[i- 1][j] +c[i - 1][j - 1])% mod;
}
int main()
{
init();
int n;
scanf(%d",&n) ;
while (n -- )
{
int a, b;
scanf("%d%d" , &a,&b);
printf("%d\n", c[a][b]);
}
return 0;
}
- 1
- 2
- 3
- 4
- 5
- 6
- 7
- 8
- 9
- 10
- 11
- 12
- 13
- 14
- 15
- 16
- 17
- 18
- 19
- 20
- 21
- 22
- 23
- 24
- 25
- 26
- 27
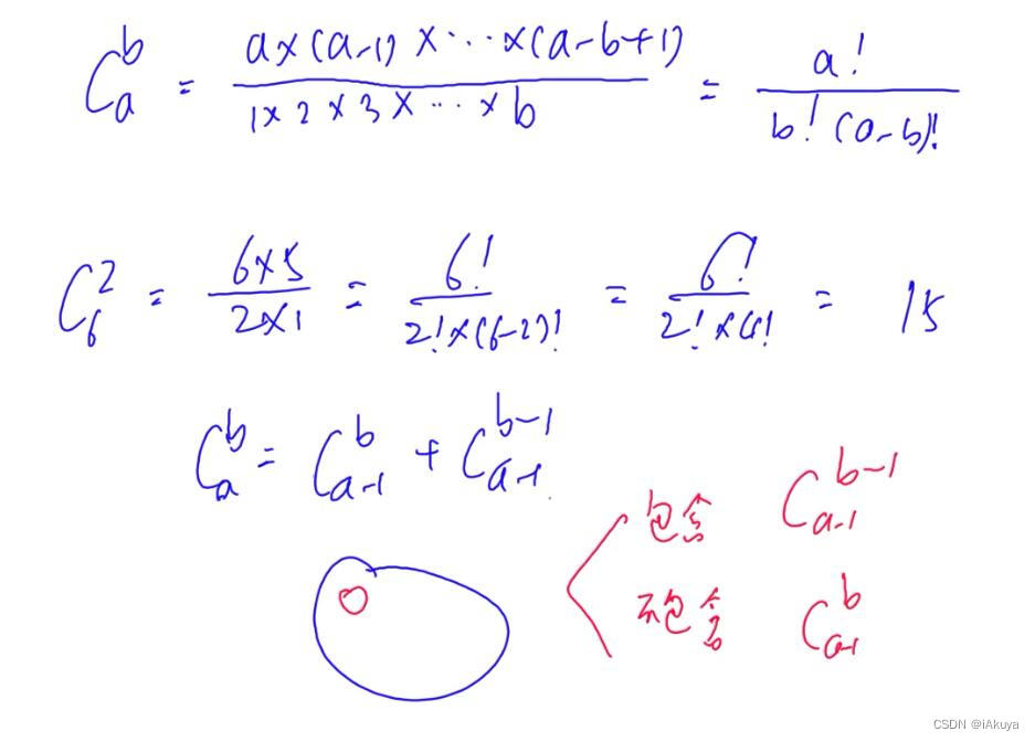
思路
这道题运用到了动态规划的思想,同时也需要数学推到下图式子,即可解决。