• leetcode606. 根据二叉树创建字符串(java)


    根据二叉树创建字符串

    题目描述

    难度 - 简单
    leetcode606. 根据二叉树创建字符串

    给你二叉树的根节点 root ,请你采用前序遍历的方式,将二叉树转化为一个由括号和整数组成的字符串,返回构造出的字符串。
    空节点使用一对空括号对 “()” 表示,转化后需要省略所有不影响字符串与原始二叉树之间的一对一映射关系的空括号对。

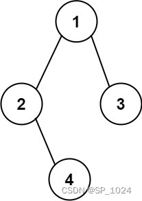
    示例1:
    在这里插入图片描述
    输入:root = [1,2,3,4]
    输出:“1(2(4))(3)”
    解释:初步转化后得到 “1(2(4)())(3()())” ,但省略所有不必要的空括号对后,字符串应该是"1(2(4))(3)" 。

    示例2:
    在这里插入图片描述输入:root = [1,2,3,null,4]
    输出:“1(2()(4))(3)”
    解释:和第一个示例类似,但是无法省略第一个空括号对,否则会破坏输入与输出一一映射的关系。

    提示:
    树中节点的数目范围是 [1, 10^4]
    -1000 <= Node.val <= 1000
    在这里插入图片描述

    DFS

    这个题,最难的点是在搞明白题目要表达的意思,这种描述让人很头大,先翻一下让干什么。
    题目的意思是子节点需要用()来包裹。举例来说,二叉树[root,left,right],则转换为root(left)(right)。如果只有left为空节点,则输出root()(right);如果只有right为空节点则可以忽略右节点的(),输出为root(left)。

    生成字符串的规则其实就是在「前序遍历」输出节点值的同时,在每颗子树的左右添加一对 ()(根节点除外),同时需要忽略掉一些不必要的 () 。
    所谓的不必要就是指当以某个节点
    为根时,其只「有左子树」而「没有右子树」时,右子树的 () 可被忽略,或者「左右子树都没有」时,两者的 () 可被忽略。
    或者反过来说,如果对于每个非空节点才添加 () 的话,那么当「有右子树」同时「没有左子树」时,左子树的 () 不能被忽略,需要额外添加,从而确保生成出来的字符串能够与「有左子树」同时「没有右子树」的情况区分开来,而不会产生二义性。

    代码演示:

    /**
     * Definition for a binary tree node.
     * public class TreeNode {
     *     int val;
     *     TreeNode left;
     *     TreeNode right;
     *     TreeNode() {}
     *     TreeNode(int val) { this.val = val; }
     *     TreeNode(int val, TreeNode left, TreeNode right) {
     *         this.val = val;
     *         this.left = left;
     *         this.right = right;
     *     }
     * }
     */
    class Solution {
       StringBuilder sb = new StringBuilder();
        public String tree2str(TreeNode root) {
            dfs(root);
            return sb.substring(1, sb.length() - 1);
        }
        void dfs(TreeNode root) {
            if(root == null){
                return ;
            }
            sb.append("(");
            sb.append(root.val);
            if(root.left != null){
                dfs(root.left);
            }else if(root.right != null){
                sb.append("()");
            }
            if(root.right != null){
                dfs(root.right);
            }
            sb.append(")");
        }
    
    }
    
    • 1
    • 2
    • 3
    • 4
    • 5
    • 6
    • 7
    • 8
    • 9
    • 10
    • 11
    • 12
    • 13
    • 14
    • 15
    • 16
    • 17
    • 18
    • 19
    • 20
    • 21
    • 22
    • 23
    • 24
    • 25
    • 26
    • 27
    • 28
    • 29
    • 30
    • 31
    • 32
    • 33
    • 34
    • 35
    • 36
    • 37
    • 38
    • 39
  • 相关阅读:
    计算机的基本组成
    【常见开发问题】阿里云无法登录的问题
    「Python实用秘技16」快速提取字体子集
    Docker 网络
    Arrays类中常用的方法
    day3学习笔记
    QtSqlDatabase-QCryptographicHash数据库-加密
    SSL证书申购指南教程
    ChatGPT 实际上是如何工作的?
    中医-通过舌象判断身体状况
  • 原文地址:https://blog.csdn.net/SP_1024/article/details/132811974