在解读“链表中环的入口结点”前,我认为有必要明白关于它的一些用于打基础的问题(相交链表、判断链表中是否存在环)
题目:
给你两个单链表的头节点 headA 和 headB ,请你找出并返回两个单链表相交的起始节点。如果两个链表不存在相交节点,返回 null 。点击此处🤔前往该题
例如:
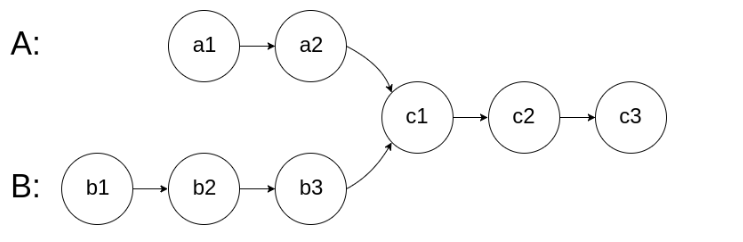
为了方便描述这类问题,我们给出更为抽象的逻辑图

首先我们第一眼能够想到的办法,就是遍历一遍然后一一进行比较。遍历的思路,以上图为例,将A中每个结点逐个和B中的结点进行比较,如果相等,那么该结点便是这两个链表的相交结点。(取部分讲解,A中的c1与B中的b1比较不相等,c1与b2比较不相等, c1与b3比较不相等,c1与c1比较相等!所以c1就是A和B的相交结点)。经过分析,可知这样的算法时间复杂度高达O(n2)。
通常的做法是
(1)获得两个链表的长度之差gap。
(2)长的链表从头开始,先走gap步
(3)长链表从第(2)步的位置开始,短的链表从头开始,一起往后走
(4)第一次遇到相等的结点了,该结点就是两个链表的相交结点

另外,在统计这两个链表各自的长度,获取差距步数的同时,可以判断这两个链表是否为相交的链表。判断的方式,两个链表的尾部结点(非空结点)相同,那么就是相交的。避免了两个链表根本不相交但依然要去执行上述逻辑,这样的无用功,算是进行了优化。还可以优化的细节,如果其中一个链表为空,那么他们就没有相交结点,直接返回一个空结点即可。代码实现如下:
struct ListNode *getIntersectionNode(struct ListNode *headA, struct ListNode *headB) {
if(headA == NULL || headB == NULL)
return NULL;
//1.获取两链表的差距步数
int lenA = 1, lenB = 1;
struct ListNode* tailA = headA, *tailB = headB;
//1.1 获取A链表的长度
while(tailA->next)
{
tailA = tailA->next;
lenA++;
}
//1.2 获取B链表的长度
while(tailB->next)
{
tailB = tailB->next;
lenB++;
}
//如果两个链表根本不相交,就不要做无用功
if(tailA != tailB)
{
return NULL;
}
int gap = abs(lenA - lenB);
struct ListNode* longList = headA;
struct ListNode* shortList = headB;
if(lenA < lenB)
{
longList = headB;
shortList = headA;
}
//2.长的链表先走差距步
while(gap--)
{
longList = longList->next;
}
//3.短的链表从头开始,一起走
while(longList)
{
//遇到相等的结点了,该结点就是相交结点
if(longList == shortList)
{
return longList;
}
longList = longList->next;
shortList = shortList->next;
}
return NULL;
}
给你一个链表的头节点 head ,判断链表中是否有环。例如:

点击此处前往该类题, 为了方便描述这类问题,我们给出更为抽象一点的逻辑图

判断一个链表中存在环,更为普遍的办法是定义两个指针,一个指针一次走一步,另一指针一次走两步,前者我们称之为慢指针,后者称之为快指针。若存在环,那么快指针必定会追上慢指针;若不存在环,快指针必定会先走到链表尾部。
为什么慢指针一次走一步,快指针一次走两步,若存在环,快指针必定会追上慢指针的原理证明:
若存在环,当slow开始进环时,fast已经在环里面了。假设入环前的长度为L,那么当slow开始进环时,fast已经在环内走了L(slow走了L,fast就走了2L,fast入环前已经走了L,故在环内走了L)。下面的这张示意图,是环比入环前距离大的样例。也有可能slow进环前,fast已经在环里走了好几圈了!但要记住无论环大还是环小,fast在环内走了几圈,fast在环内所走的步数一定是L。

fast去追slow,slow开始进环时,假设它们之间的距离为N,要分清楚这里所指的距离到底是哪一段。
走一次:slow走了一步,fast走了两步。那么slow和fast之间的距离就减少了1,此时距离为N-1
走一次:slow走了一步,fast走了两步。那么slow和fast之间的距离就减少了1,此时距离为N-2
走一次:slow走了一步,fast走了两步。那么slow和fast之间的距离就减少了1,此时距离为N-3
… …
slow在环内走了N次后:此时距离为N-N = 0,fast追上了slow!

到这里的时候,你可能会产生疑问,为什么一定是慢指针一次走一步,快指针一次走两步。快指针一次走三步行不行?一起验证这样的假设是否可行。
不管fast在环内走了多少,假设slow开始进环时,fast和slow相距N

走一次:slow走了一步,fast走了三步。那么slow和fast之间的距离就减少了2,此时距离为N-2
走一次:slow走了一步,fast走了三步。那么slow和fast之间的距离就减少了2,此时距离为N-4
走一次:slow走了一步,fast走了三步。那么slow和fast之间的距离就减少了2,此时距离为N-6
… …
如果N是偶数,也就是slow开始进环时,两指针的差距是偶数,距离才会逐渐变为0;否则就有可能会错过
以slow开始进环时,slow和fast距离N为偶数6举例:
走一次:slow走了一步,fast走了三步。那么slow和fast之间的距离就减少了2,此时距离为4
走一次:slow走了一步,fast走了三步。那么slow和fast之间的距离就减少了2,此时距离为2
走一次:slow走了一步,fast走了三步。那么slow和fast之间的距离就减少了2,此时距离为0
fast追上slow了,该链表存在环!
以slow开始进环时,slow和fast距离N为奇数7举例:
走一次:slow走了一步,fast走了三步。那么slow和fast之间的距离就减少了2,此时距离为5
走一次:slow走了一步,fast走了三步。那么slow和fast之间的距离就减少了2,此时距离为3
走一次:slow走了一步,fast走了三步。那么slow和fast之间的距离就减少了2,此时距离为1
走一次:slow走了一步,fast走了三步。那么slow和fast之间的距离就减少了2,此时距离为-1
距离变成了-1?实质上,两者的距离又开始反向变大了!这一次就错过了

当然,还可以让fast继续追slow,这一轮是否会错过,要取决于环的大小,这不就是上一步操作的轮询吗?C为环的大小,此时C-1就是两者之间的距离差N。如果C-1为偶数,那么fast就可以追上slow,从而证明该链表存在环;如果C-1依旧为奇数,那么就会永远错过,无法证明该链表是否存在环。
其他方案请自行证明。 综合而言,慢指针一次走一步、快指针一次走两步是判断链表中是否存在环的最优解决方案。参考代码如下:
bool hasCycle(struct ListNode *head) {
//如果链表为空,一定不存在环
if(head == NULL)
{
return false;
}
struct ListNode* slow = head, *fast = head;
while(fast && fast->next)
{
//慢指针一次走一步
//快指针一次走两步
slow = slow->next;
fast = fast->next->next;
if(fast == slow)
{
return true;
}
}
return false;
}
经过前两个类型的题,算是为这道题打下一些基础知识,
题目:给定一个链表的头节点 head ,返回链表开始入环的第一个节点。 如果链表无环,则返回 null。
思考“判断链表存在环”类题,并结合其中的两个图,你能联想到什么?
环比入环前长度大的情况:

入环前的长度、相遇点到入环结点的长度都是L。到这里我们就应该能想到两个链表相交的思想,如果你看不出来,我们可以将其中部分稍微拉平一点。

再使用“找相交链表的第一个相交结点”的办法,就能够找到找到这个入环结点了。
当然,这是环大小比入环前长度大的情况。环比较小的情况也是一样的,由于采用慢指针一次走一步、快指针一次走两步的策略,慢指针slow开始入环前,快指针fast已经在环内走了L步(不管它究竟在环内走了几圈)。所以环比较小时,fast走过几圈了的长度+快慢指针相遇点到入环结点的长度 = L。
绕过一个弯来说,不论环大还是环小,我们都只需要定义两个指针,一个指针从链表的头部开始走,一个指针从快慢指针相遇点走,都是一次走一步。如果有环,那么它们必定会相遇。相遇的点,便是入环结点
(1)环比较大时,快慢指针相遇点开始走的指针,不会走超过环的一圈。
(2)环比较小时,快慢指针相遇点开始走的指针,会走了环的很多圈。
综上所述,我们可以总结出求解入环结点的思路:
(1)判断链表中是否存在环,同时得到其中快慢指针相遇的结点;
(2)定义两个指针,一个指针从链表头部开始走,另一指针从快慢指针相遇点开始走;
(3)两个指针相遇的结点,就是入环结点。
//判断是否存在环,并且得到快慢指针相遇的结点
struct ListNode* hasCycle(struct ListNode* head){
if(head == NULL)
return NULL;
struct ListNode *slow = head, *fast = head;
while(fast && fast->next)
{
slow = slow->next;
fast = fast->next->next;
//fast追上了slow,存在环
if(slow == fast)
{
return fast;
}
}
return NULL;
}
struct ListNode *detectCycle(struct ListNode *head) {
//判断是否存在环,如果存在则获得快慢指针相遇点
struct ListNode* meetNode = hasCycle(head);
if(meetNode == NULL)
{
//不存在环
return NULL;
}
//另外定义两个指针
//一个指针从链表头开始走,一个指针从快慢指针相遇点开始走
struct ListNode* ptr1 = head, *ptr2 = meetNode;
while(ptr1 != ptr2)
{
ptr1 = ptr1->next;
ptr2 = ptr2->next;
//两个指针相遇了,相遇结点便是入环结点
if(ptr1 == ptr2)
{
return ptr1;
}
}
//如果能够到这里,说明第一个结点就是入环结点
return head;
}