这个知识点比较零碎。







正态总体的抽样分布






协方差的定义:

需要注意的是,协方差内部的Y可以进行加减乘除,假设题目给出Y = aX1 +bX2+c,一般需要展开计算。
C
o
v
(
X
,
Y
)
=
C
o
v
(
X
,
a
X
1
+
b
X
2
+
c
)
Cov(X,Y) = Cov(X,aX_1+bX_2+c)
Cov(X,Y)=Cov(X,aX1+bX2+c)
=
C
o
v
(
X
,
a
X
1
)
+
C
o
v
(
X
,
b
X
2
)
+
C
o
v
(
X
,
c
)
= Cov(X,aX_1) + Cov(X,bX_2) + Cov(X,c)
=Cov(X,aX1)+Cov(X,bX2)+Cov(X,c)
=
a
C
o
v
(
X
,
X
1
)
+
b
C
o
v
(
X
,
X
2
)
+
0
= aCov(X,X_1) + bCov(X,X_2) + 0
=aCov(X,X1)+bCov(X,X2)+0
如果是给出方差之间的关系,则应用下面的式子:
D
(
X
+
Y
)
=
D
(
X
)
+
D
(
Y
)
+
2
C
o
v
(
X
,
Y
)
D(X+Y) = D(X)+D(Y)+2Cov(X,Y)
D(X+Y)=D(X)+D(Y)+2Cov(X,Y)
推导如下:先变成协方差形式,然后再拆开。
D
(
X
+
Y
)
=
C
o
v
(
X
+
Y
,
X
+
Y
)
D(X+Y) = Cov(X+Y,X+Y)
D(X+Y)=Cov(X+Y,X+Y)
C
o
v
(
X
+
Y
,
X
+
Y
)
=
C
o
v
(
X
,
X
)
+
2
C
o
v
(
X
,
Y
)
+
C
o
v
(
Y
,
Y
)
Cov(X+Y,X+Y) = Cov(X,X) + 2Cov(X,Y) + Cov(Y,Y)
Cov(X+Y,X+Y)=Cov(X,X)+2Cov(X,Y)+Cov(Y,Y)
这里的Cov(X,X) = D(X)
当然,如果是相减关系,可以看作是加上“-Y”:
D
(
X
−
Y
)
=
D
(
X
)
+
D
(
−
Y
)
+
2
C
o
v
(
X
,
−
Y
)
D(X-Y) = D(X)+D(-Y)+2Cov(X,-Y)
D(X−Y)=D(X)+D(−Y)+2Cov(X,−Y)
D
(
X
−
Y
)
=
D
(
X
)
+
D
(
Y
)
−
2
C
o
v
(
X
,
Y
)
D(X-Y) = D(X)+D(Y)-2Cov(X,Y)
D(X−Y)=D(X)+D(Y)−2Cov(X,Y)
看一道真题检验一下:

答案是B






只需验证:
P ( X = u , Y ≤ c ) = P ( X = u ) P ( Y ≤ c ) P(X=u,Y≤c ) = P(X=u) P(Y≤c) P(X=u,Y≤c)=P(X=u)P(Y≤c)
伽马函数的定义:(实数域上)

伽马函数的表达式:

也就是这样的结论:

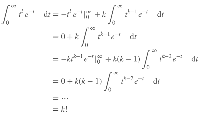
推导如下:(靠分部积分)

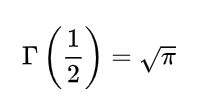
特例:需要记住n不为整数(1/2)的情况:

均匀分布,期望是(a+b)/2,方差是(b-a)的平方/12。
二项分布,期望是np,方差是npq。
泊松分布,期望是λ、方差也是λ。
这里的k最小为0,记住它!

指数分布,期望是1/θ,方差是1/(θ的平方)。

正态分布,期望是u,方差是&的平方。


几何图像如下:

