基础解系的概念是针对方程而言的;齐次线性方程组的解集的最大无关组称为齐次线性方程的基础解系;要求齐次线性方程组的通解,只需求出它的基础解系。
【例】

特征向量和特征值满足关系式 A α = λ α A\alpha =\lambda \alpha Aα=λα;特征向量是相对于矩阵(方阵)而言的,一个方程组可以提取它的系数产生出一个矩阵,于是求解特征向量与求解系数矩阵非常类似。
【2019年数二】已知A,B相似,求可逆矩阵P,使得
P
−
1
A
P
=
B
P^{-1}AP=B
P−1AP=B
A
=
[
−
2
−
2
1
2
3
−
2
0
0
−
2
]
A=
B
=
[
2
1
0
0
−
1
0
0
0
−
2
]
B=
【分析】A,B相似,特征值相同,求得
λ
1
=
−
2
\lambda _{1}=-2
λ1=−2,
λ
2
=
−
1
\lambda _{2}=-1
λ2=−1,
λ
3
=
2
\lambda _{3}=2
λ3=2
(
特
征
值
的
求
解
过
程
省
略
,
非
本
文
章
讲
解
的
重
点
)
{\color{Orange} (特征值的求解过程省略,非本文章讲解的重点) }
(特征值的求解过程省略,非本文章讲解的重点)

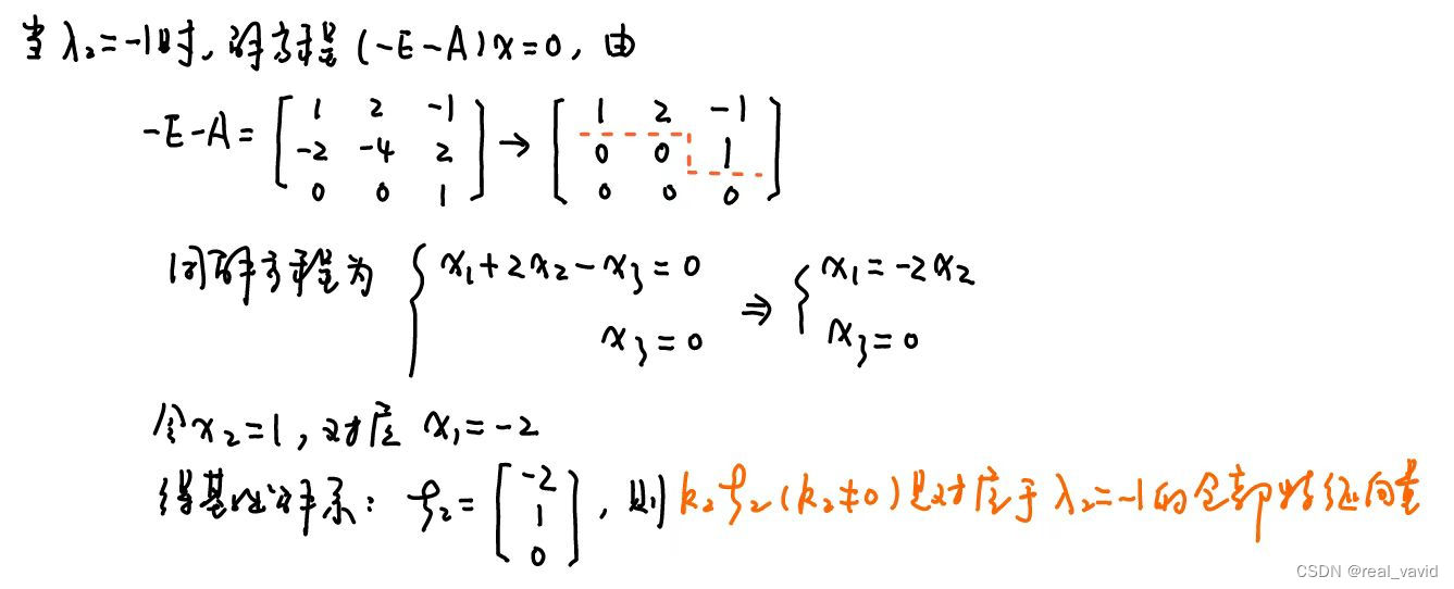
注:其实这里只需求出基础解系就好,这个基础解系就是属于特征值 λ 1 = − 2 \lambda _{1}=-2 λ1=−2的一个特征向量,顺带写出了特征值 λ 1 = − 2 \lambda _{1}=-2 λ1=−2的全部特征向量,即 k 1 ξ 1 k_{1}\xi _{1} k1ξ1;
另外,在化行最简的时候,书上面一般是从往左上角爬楼梯的行最简,有时候也可以化为往右上角爬楼梯的行最简(姑且称为「左撇子行最简」),同样也方便得到基础解系;

注:在化行最简时,可以直接将一行写为0,因为我们是通过 ∣ λ E − A ∣ \left | \lambda E-A \right | ∣λE−A∣求得的 λ \lambda λ,再将 λ \lambda λ带入之后得到的矩阵必然是不可逆矩阵,里面的行线性相关,即就是对应的方程组中存在多余方程,因此选数字复杂的行直接写为0,可以简化计算过程,下同

熟悉以上过程后,先将矩阵化为行最简,然后直接将行最简不是1的那一列对应的未知数令为1,得到其余的未知数的值,进而写出对应的基础解系;这也是多数题目的参考答案给出的简化后的写法,很多学生一开始看不懂。

同理,分别计算矩阵B的特征值
λ
1
=
−
2
\lambda _{1}=-2
λ1=−2,
λ
2
=
−
1
\lambda _{2}=-1
λ2=−1,
λ
3
=
2
\lambda _{3}=2
λ3=2 对应的特征方程的基础解系:

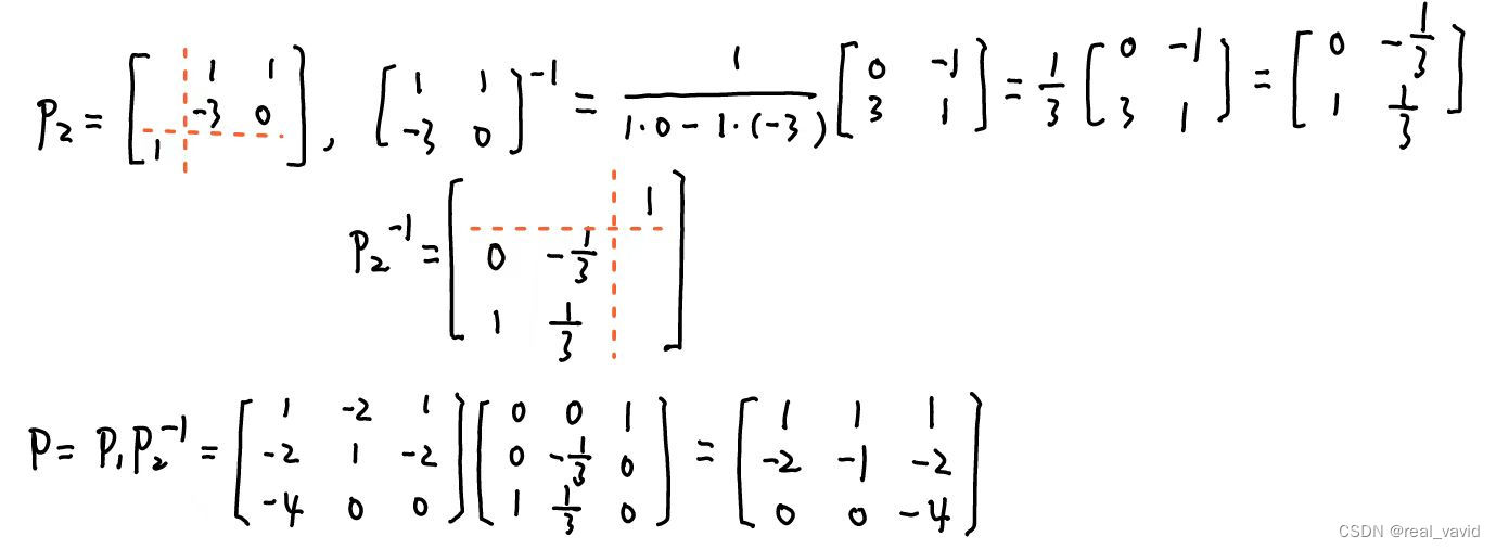
由于A、B相似,于是有:


这里P可逆,为题目所求的可逆矩阵,且
P
−
1
A
P
=
B
P^{-1}AP=B
P−1AP=B
求可逆矩阵可参考链接: 线代——求逆矩阵的快捷方法