目录
看过很多论文,对PI参数的整定方法五花八门,还有PI参数整定的口诀,所谓口诀就是试凑法。除了试凑法,本文提供另外两种方法来整定PI参数,并互相验证两种方法的可行性。
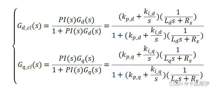
反电动势项忽略得到DQ轴坐标系的电压方程:

对上式进行拉普拉斯变换得到:

得到电流环闭环传递函数:
这里把反馈为单位负反馈,增益环节也是1。

闭环传递函数零极点对消化简得到PI参数,其中
为带宽系数

一般设计PI控制器参数或者其他控制器参数时需要考虑带宽的选取,一般带宽越高,响应越快但是相应稳态性能偏差,带宽越低响应越慢,相应的稳态性能就越好。设计控制器参数时根据系统定义需求进行调整即可。以上方法经常在很多参考文档里面遇到,而实际工程中带宽的设计都是基于经验和都尝试。
参考之前的博文
永磁同步电机矢量控制电流环参数整定方法----Matlab controlSystemDesigner的使用
这里通过一个控制实例来更直观的感觉下PI控制的效果:
根据方法一,我们得到下面的代码:
- pmsm = struct;
- pmsm.RatedVoltage = 800.0; %TBD
- pmsm.PolePairs = 4;
- pmsm.StatorPhaseResistance = single(0.00653); % RS
- pmsm.InductanceLd = single(0.000118); % Ld
- pmsm.InductanceLq = single(0.000276); % Lq
- pmsm.FluxLinkage = single(0.0672346); %Flux
- pmsm.Jkm2=single(0.002);
-
- %Set Inverter Parameters%
- inverter = struct;
- inverter.BusVoltage = 24.0;
- inverter.BusVoltageMax = 36.0;
- inverter.BusVoltageMin = 10.0;
- inverter.CurrentMax = single(10);
- inverter.PWM_frequency = 10000; %20Khz
- inverter.Ts=1/inverter.PWM_frequency; %Ts
- inverter.Speed_PI_T =0.002;%s
-
- currentloop = struct;
- currentloop.wc = single(1500); %rad/s 电流环带宽
- currentloop.kp_d = pmsm.InductanceLd * currentloop.wc;
- currentloop.ki_d = currentloop.wc*pmsm.StatorPhaseResistance;
- currentloop.kp_q = pmsm.InductanceLq * currentloop.wc;
- currentloop.ki_q= pmsm.StatorPhaseResistance*currentloop.wc;
这里根据电机的参数,设计带宽1500 rad/s 换算成频率238.7Hz。得到的PI参数如下:

根据方法二的方法,把方法一得到的Q轴的PI参数代入到系统传递函数,得到以下代码:
- s = tf('s');
- Td=1/inverter.PWM_frequency;%+0.5/inverter.PWM_frequency
- Giq=1/(pmsm.InductanceLq*s+pmsm.StatorPhaseResistance);
- Giq_delay=tf([1],[pmsm.InductanceLq pmsm.StatorPhaseResistance],'inputdelay',Td);
- %Giq_z=c2d(Giq_delay, inverter.Ts, 'zoh');
- %Ciq
- %Iq_numz = 0.66446*[1 -0.9973]
- %Iq_denz = [1 -1]
- %Ciq = tf(Iq_numz,Iq_denz,inverter.Ts)
- Kpq=0.4140;
- Kiq=9.7950;
- PI_q=Kpq+Kiq/s;
-
- controlSystemDesigner(Giq_delay,PI_q,1,1);
运行后:
可以看到,设计带宽正好是1500rad/s.

换成频率为单位:
和我们之前算的一样239,系统的相位裕量和增益裕量也足够,系统稳定。通过方法二设计的PI参数,就可以让我们设计一个控制系统时看得到更多的信息,而不是试凑一个带宽或者一组PI参数。

增大带宽:
通过鼠标抓取曲线上下移动,或者调整零点位置都可以达到改变带宽的效果。
增大带宽可以看到相位裕量变小,增益裕量变小,从阶跃响应来看系统响应更快,但是由于裕量变小了,所以系统的稳定性变差了。具体是什么情况好,取决于系统需求。这里就解释了前面带宽越高,响应越快但是相应稳态性能偏差,带宽越低响应越慢,相应的稳态性能就越好。

本文利用实例通过两种方法整定PI参数,并互相比较,总结出两种方法都可以整定出PI参数,但是方法二更加直观和合理。方法一存在一定的不确定性,比如当前设计的带宽是不是太高,太低。只能在实际中验证。方法二如果电机参数准确,可以更方便的看出电机PI参数是否会引起系统超调太大,是否稳定等信息。