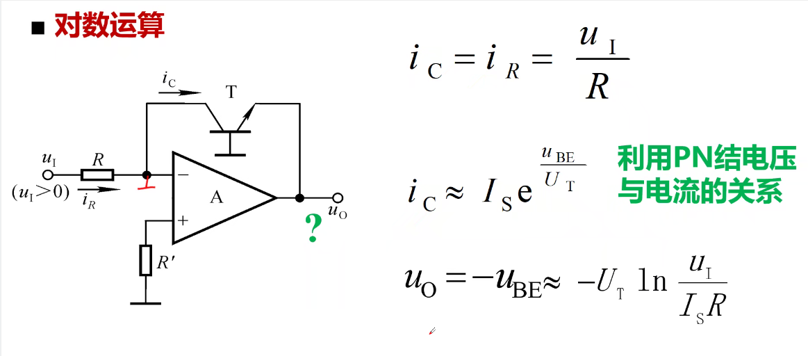
电路组成
为实现Uo与Ui的某种运算关系——运算电路中的集成运放应工作在线性区——电路中必须引入负反馈
为稳定Uo——引入电压负反馈——电压(串、并联)负反馈均为深度负反馈
分析方法
设集成运放为理想运放——利用虚短、虚断(两个输入端的净输入电压和净输入电流均为0)
运算电路中,无论Uo还是Ui,均对“地”而言
求解运算关系式,结合KCL、KVL、VCR(带电容电路)、叠加原理,节点电流法
学习要点
熟悉各个基本运算电路的电路结构
熟记各个基本运算电路的运算公式
掌握基本运算电路的分析方法
电压并联负反馈,反向输入端有输入

反向比例运算电路的变式
电压串联负反馈,同向输入端有输入
同相比例运算电路

同相比例运算电路的一般形式
加减运算器的基础

同相比例运算器的特殊形式
同相比例运算电路中
(反馈电阻短路)Rf=0,Uo趋近于Ui
(接地电阻断路)R=∞,Uo趋近于Ui

单个反向、同个反向端有多个输入
反向求和运算电路

同向求和运算电路

同相、反向端都有信号输入

电容替代Rf


电容替代R






功能:使指定频段的信号顺利通过,其他频率的信号被衰减
特性描述:幅频特性
主要参数:Aup通带放大倍数;Au;通带截止频率fp;未通过信号的衰减速率
滤波器种类


无源滤波电路&有源滤波电路
有源元件:能控制能量的元件
有源滤波器电路&运算电路

