在开关键控(OOK)的通信系统中,我们发射两个信号中的一个,即
![]()
表示bit0,而
![]()
表示bit1。假定幅度是正的,为了确定发射的是哪个bit,我们对接收机的波形在符号周期内
进行采样,得到:
![]()
如果发射的是bit0,那么我们有
;如果发射的是bit1,我们有
(假定采样率为1样本/秒)。用
给出的噪声样板来模拟信道噪声。一个简单的接收机可以用来估计正弦信号的幅度A 。如果
,判定当前采集到的信号是由bit1发射的;如果
, 判定当前采集到的信号是由bit0发射的。因此等价的问题是认为接收数据为
![]()
来估计信号幅度A ,其中
是均值为零,且协方差矩阵
的噪声。求本题的BLUE,解释导出的检测器。求发射机在
内使用的最好频率。
根据题目条件,得到:
![]()
那么:

而:

根据BLUE定义,得到:



参考统计信号处理基础 习题解答3-7_weixin_43270276的博客-CSDN博客
可以得到:
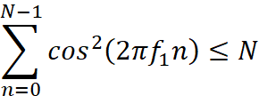
大部分频率下(归一化的f1 不靠近0或者1/2):
![]()
此时:

但是当
或者
时,上述求和达到最大值,因此可以得到:

因此:

考察上述结果,可以得到,归一化的频率为0或者1/2时,方差最小。
根据题目要求,f1 不能取1/2,因此此时使得方差最小的信号为直流信号。