本文总结参考于 kira 2023概率提神醒脑技巧班 中 —— 重难点专题。
笔记均为自用整理。加油!ヾ(◍°∇°◍)ノ゙
一研为定!
---------------------------------------------------------------------------------------------------------------------------------
【例2.19】 全概率公式
【解析】
欲求 概率密度 ,先写分布函数。

【注】



--------------------------------------------------------------------------------------------------------------------------------
【例2.20】

(分布函数等号跟大于号,概率密度不要等号)

---------------------------------------------------------------------------------------------------------------------------------
【例2.14】分布律:抓两点 ① 取值 ② 概率
【解析】

---------------------------------------------------------------------------------------------------------------------------------
① 分布函数法(画出X和Y的关系图 多一笔也不要画,注意X的定义域 ,求出曲线在直线下方的X的取值范围,分段积分)
② 公式法(y是x的严格单调可导函数)
--------------------------------------------------------------------------------------------------------------------------------
【例2.15】连续型 Y = g(X)
--------------------------------------------------------------------------------------------------------------------------------
【例2.16】当X为连续型随机变量,Y=F(X)服从 U(0,1)
【解析】 背结论!


--------------------------------------------------------------------------------------------------------------------------------
【例2.17】
注:这里的F(x)不是分布函数。

--------------------------------------------------------------------------------------------------------------------------------
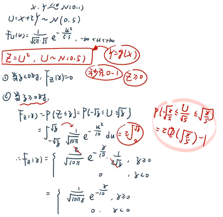
【例2.18】依旧是 Y=g(X)

先判断 X和Y的 类型!
但Z依旧是一维随机变量!一元函数。

--------------------------------------------------------------------------------------------------------------------------------
【例3.11】依旧是 Y=g(X)
【解析】分布律:① 取值 ② 概率

可卷积:能反解出单值反函数 + 只用概率密度
--------------------------------------------------------------------------------------------------------------------------------
【例3.12】
【解析】



注:卷积公式法的关键是 —— 解不等式组找准换元后的区域(有必要时结合图像)

-------------------------------------------------------------------------------------------------------------------------------- 【例3.13】分布函数法 + 对离散型全集分解




-------------------------------------------------------------------------------------------------------------------------------- 【史诗级 2016 典型例题】



【2020 典型例题】

【解析】
最小值!这里好好想想哦 ~


【例3.16】① 拿 U~N(μ,

【解析】
