
I是Integral



梯形公式就是:上底加下底乘高除2。

如表面意思,左右中就代表取函数的左右中的端点值。

这里累计求和就是分段求近似解。Ak类似于(b-a) xk可以取左右中等。
定义4-1
如果某个求积公式对于次数不超过 m 的多项式均能准确地成立,但对于m+1次的多项式就不准确成立, 则称该求积公式具有m 次代数精度。
梯形

左中右矩形公式同理,将公式代入就行。
| 公式 | 具有的代数精度 |
|---|---|
| 左矩形公式 | 0 |
| 中矩形公式 | 1 |
| 右矩形公式 | 0 |
| 梯形公式 | 1 |

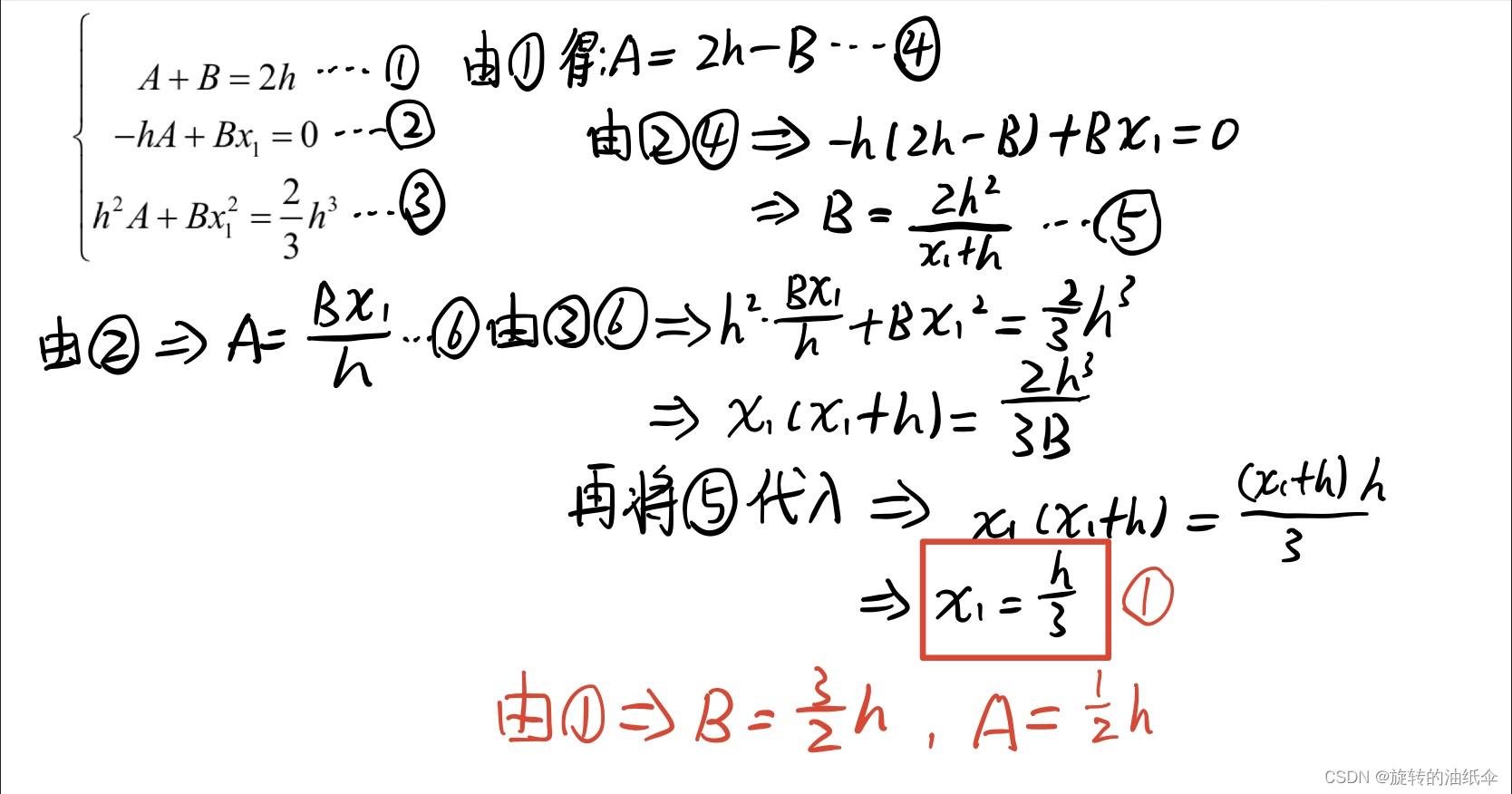
3个未知数,构造三个方程,解方程。(积分区间为相反数,奇函数结果为0):

4个未知数,构造四个方程,解方程:


什么是拉格朗日插值多项式?(点击!!!)

R是Remainder
书101页
公式:
ω
n
+
1
=
(
x
−
x
0
)
(
x
−
x
1
)
.
.
.
(
x
−
x
n
)
\omega _{n+1}=(x-x_0)(x-x_1)...(x-x_n)
ωn+1=(x−x0)(x−x1)...(x−xn)

1.11是带权积分中值定理。后面用到。

parabola抛物线
L是Lagrange拉格朗日

柯特斯系数推导要记忆。其实就是将k-j分母连乘提取出来并且将h=(b-a)/n带入即可。
注意k取(0,1,2,3...n)

此处需要推导:

出现负数不稳定的原因是因为前面的带权积分中值定理,需要不变号才能成立。
| 名称 | 公式 | 误差(余项) |
|---|---|---|
| 梯形公式 | ![]() | ![]() |
| 辛普森(Simpson)公式 | ![]() | 展开得:![]() |
| 柯特斯(Cotes)公式 | ![]() | (不做要求) |
| 插值型的求积公式 | ![]() | ![]() |
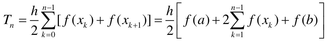
公式好记 ∑ k = 0 n A k f k \sum_{k=0}^{n} A_kf_k ∑k=0nAkfk其中fk是均分的,然后系数Ak需要记忆。
e=2.718281828459

其中C是Continuous。C2代表二阶导连续。同理Cn代表n阶导连续。
注意k取(0,1,2,3...n)套上面公式即可。

1,4,1公式

H是Hermite。什么是Hermite?埃尔米特插值 点击!!!

第三个等式到第四个等式用到了上面的带权积分中值定理。 g(x)不变号,f(x)可以提取出来。


7,32,12,32,7
什么是截断误差?点击!!

例题4的这个积分其实就是π= 3.1415926
什么是截断误差?点击!!
套公式!
e=2.718281828459


知道即可,证明不要求。(证明看带权积分中值定理,误差余项)

将f(x)=1,x,,x2,x3…带入得到下面等式。

可以直接套用上面的矩阵,不用一个个求积分了




将f(x)=1,x,,x2,x3…,xn带入如果带入xm左右两边相等,说明求积公式的代数精度为m
注意一般需要将xm+1带入说明当f(x)=xm+1时等式不成立
Ak叫求积系数,一般为正数,数值稳定的。
在使用牛顿-柯特斯公式时将导致求积系数出现负数(当n≥8时,牛顿.柯特斯求积系数会出现负数),因而不可能通过提高阶的方法来提高求积精度。(就是不满足前面带权积分中值定理的条件)
为了提高精度通常采用将积分区间划分成若干个小区间,在各小区间上采用低次的求积公式(梯形公式或辛普森公式),然后再利用积分的可加性,把各区间上的积分加起来,便得到新的求积公式,这就是复化求积公式的基本思想。本节只讨论复化的梯形公式和复化的辛普森公式。
前面提到带权积分中值定理,求积系数不能变号。

可以看到有的小区间取的多,有的少。
h就是一个小步长。即
x
k
−
x
k
−
1
=
(
a
+
k
h
)
−
(
a
+
(
k
−
1
)
h
)
=
h
x_k-x_{k-1}=(a+kh)-(a+(k-1)h)=h
xk−xk−1=(a+kh)−(a+(k−1)h)=h
记住h=(b-a)/n=
x
k
−
x
k
−
1
x_k-x_{k-1}
xk−xk−1

其实就是上面梯形余项的求和。然后利用了连续函数的介值定理。后面有证明!

I是Integral积分
T是Trapezoid梯形
composite复合的

141公式


其实就是上面辛普森余项的求和。然后利用了连续函数的介值定理。后面有证明!
| 名称 | 公式 | 余项 |
|---|---|---|
| 复合梯形公式 | ![]() | ![]() |
| 复合辛普森公式 | ![]() | ![]() |

套公式即可,这里需要注意
辛普森公式需引入半个节点值就是表面上n=8时,实际上辛普森公式的n为4.

这里用到了放缩法!sinx<1
什么是截断误差?点击!!可以理解为余项大小。

这里需要注意,求出辛普森公式的n之和。实际的等份数是该n的两倍!


从上面三个推到下面三个用到了拉格朗日中值定理。



阶数高,收敛速度快,精度高。
后面部分查看专栏,或者点击链接(之后发布)。