海藻酸钠-peg-甘草次酸alginate-glycyrrhetinicacid
描述:通过EDC/NHS偶联反应将疏水性肝靶向小分子甘草次酸(GA)连接到海藻酸钠(ALG)上,制备了具有双亲性肝靶向药物载体材料(GA-ALG)
中文名称:海藻酸钠-甘草次酸
英文名称:alginate-glycyrrhetinicacid
别称: GA-alginate
纯度:95%+
存储条件:-20°C,避光,避湿
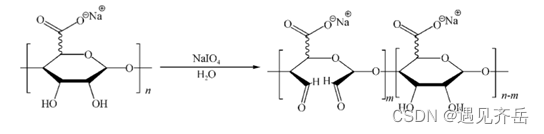
羟基-海藻酸钠的化学改性
羟基的化学改性涉及氧化、接枝共聚、磺化等,近年来海藻酸钠的氧化受到越来越多关注。氧化工艺中海藻酸钠在高碘酸钠催化下,糖基单元C2—C3断裂,对应的两个羟基氧化生成醛基。还有采用硝酸铈铵/硝酸作为氧化还原引发剂体系,将海藻酸钠与衣康酸通过自由基聚合生成聚海藻酸钠-g-衣康酸。通过优化聚合时间、聚合温度、衣康酸及海藻酸钠的浓度和引发剂用量获得了高得率接枝产物,接枝共聚效率最大能达到 97. 41%。
产品:
海藻酸钠-聚乙二醇-羟基 alginate-PEG-OH
海藻酸钠-聚乙二醇-酰基 alginate-PEG-Hydrazide
海藻酸钠-聚乙二醇-硅烷 alginate-PEG-Silane
海藻酸钠-聚乙二醇-丙烯酸酯 alginate-PEG-Acrylates
海藻酸钠-聚乙二醇-硫辛酸 alginate-PEG-Lipoic acid
海藻酸钠-聚乙二醇-甲苯磺酸酯 alginate-PEG-Tosyl
海藻酸钠-聚乙二醇-Acetylthio alginate-PEG-Acetylthio
海藻酸钠-聚乙二醇-氨甲基 alginate-PEG-Aminooxy
海藻酸钠-聚乙二醇-硝基苯碳酸盐 alginate-PEG-Nitrophenyl Carbonates
海藻酸钠-聚乙二醇-环氧化物 alginate-PEG-Epoxides
海藻酸钠-聚乙二醇-缬草酸 alginate-PEG-Valeric Acids
海藻酸钠-聚乙二醇-丙烯酰胺 alginate-PEG-Acrylamide
海藻酸钠-聚乙二醇-溴化物 alginate-PEG-Bromide
海藻酸钠-聚乙二醇-乙烯砜 alginate-PEG-Vinylsulfone
海藻酸钠-聚乙二醇-甲基丙烯酸酯 alginate-PEG-Methacrylate
以上资料来自小编axc,2022.11.03